SIO the other newsletter – No. 153: Merry Christmas & Happy New Year
By the SIOmec-team
Another year has passed, and a new one is just about to begin.
We want to say “thank you” to all our customers, patient readers, supporters, critics, interlocutors, fellow combatants, and friends for staying with us over all those past years.
Wishing you a Christmas filled with joy and relaxation and a New Year full of success and new opportunities.

If you have any questions concerning the theory, please contact Norbert Schwarzer directly via email: n.schwarzer@siomec.de
If you have any questions concerning the software and animation, please contact Nick Bierwisch: n.bierwisch@siomec.de
For all other concerns (software, offers, development, investor requests) address Peggy Heuer-Schwarzer: p.heuer@siomec.de or Troy vom Braucke: troy@gpplasma.com
[1] N. Schwarzer, „Tankowgeschichten: von Mudder und Vadder auf Ummanz“, 2023, ISBN 978-3758362033
SIO the other newsletter – No. 152: SiO Uncovers Criticalities Hidden in Structures – Part 2: Defect Detection and Optimization with FilmDoctor®
Criticalities Hidden in Structures – Part 2: Defect Detection and Optimization with FilmDoctor®
By Troy vom Braucke
Following Part 1‘s discussion of weak interfaces in coated systems—where tensile stress shifts can reduce yield strength and Young’s modulus, risking delamination under load—this part examines localized defects. These subtle imperfections, often invisible until activated, can undermine reliability in applications like automotive components, optics, electronics, and protective coatings. As explored earlier, such issues may only appear when deposition processes go out of spec or application loads push beyond tested limits, highlighting the role of measurement and simulation in identifying vulnerabilities.
Unlike weak interfaces (where they can also be intentionally designed e.g., controlled wafer separation), defects can emerge from material flaws like porosity, grain boundaries, or growth irregularities in sputtered or arc-deposited films. Their detection can depend on contact size and load of the nanoindenter, revealing pop-in events (i.e. sudden displacements during loading from dislocation bursts, grain boundary sliding or phase changes) or pop-outs (energy release on unloading).
FilmDoctor®’s OPfC analyzer flags these types of irregularities in load-depth curves for early insight [1]. Fig. 1 shows the typical signatures that OpfC® will pick up on aiding material assessment.

Custom add-ons available for FilmDoctor® model defects within layer stacks (see Fig. 2), to incorporate sizes and properties from test data or user defined. The tomography viewer provides transparent 3D visualizations, allowing visualization of field interactions between multiple hidden defects. While the defect accumulation option can illustrate damage under repeated contact, helping predict critical stress and locations for cracking.

By revealing hidden criticalities in structures, FilmDoctor® fosters robust designs where optimizing coating performance rests on addressing the weakest points. Aligning simulations with application contact conditions supports refinement of processes, materials and structures for greater performance durability and time saving –where FilmDoctor® excels.
Could your FilmDoctor® setup benefit from incorporating more advanced analysis methods, defect modeling and tomography features for even deeper insights into your coating systems?
If you have any questions concerning the theory, please contact Norbert Schwarzer directly via email: n.schwarzer@siomec.de
If you have any questions concerning the software and animation, please contact Nick Bierwisch: n.bierwisch@siomec.de
For all other concerns (software, offers, development, investor requests) address Peggy Heuer-Schwarzer: p.heuer@siomec.de or Troy vom Braucke: troy@gpplasma.com
References
[1] vom Braucke, T., Papa, F., Schwarzer, J., & Schwarzer, N. (2024). Analytical methods – applied. In B. Beake & T. Liskiewicz (Eds.), Nanomechanics for Coatings and Engineering Surfaces: Test Methods, Development Strategies, Modeling Approaches, and Applications (pp. 343–367). Elsevier. https://doi.org/10.1016/B978-0-443-13334-3.00013-9
[2] Sidiropoulos, Alexandros D et. al. (2017). ““Pop-in” and “pop-out” effect in monocrystalline silicon. A statistical investigation” Journal of the Mechanical Behavior of Materials, vol. 26, no. 1-2, pp. 65-71. https://doi.org/10.1515/jmbm-2017-0015
[3] Schwarzer, N. (n.d.). Example 4: “A Consequent Dynamic Bank Stress Test.” Unorthodox use of the Higgs field mechanism for everyday problems. Saxonian Institute of Surface Mechanics – SIO. Retrieved from http://siomec.com/higgs/
[4] Zuckerman, G. (2019). The Man Who Solved the Market: How Jim Simons Launched the Quant Revolution. Portfolio/Penguin.
SIO the other newsletter – No. 151: FilmDoctor® Crushes 747 Hard-Landing Runway Stress in Seconds
By T. vom Braucke & N. Bierwisch
We were recently asked to simulate typical contact situations on an airport runway. We used real German federal pavement data (4 layers: 4 cm, 8 cm, 22 cm and 34 cm) and actual tire contact pressures.

We imagine 3 different scenarios:
- a very hard landing (e.g., in an emergency)
- normal soft landing
- and rolling/taxiing

Results in < 5 seconds for each:
Hard landing

Soft landing

Rolling

As you can see the hard landing creates the highest overall stresses and distributes them also deep into the material compound. For this use case the lane pavement should be optimized, because the other use cases will not harm pavement.
As expected, only the extreme hard-landing case creates critical stresses that reach deep into the lower layers — a classic multi-layer, high-load, non-linear contact problem. Whereas the rolling contact places the maximum at the interface between the 1st and 2nd layers.
The interesting part for all of us who normally work with optical coatings and thin films:
The underlying physics (huge stiffness contrasts, localized extreme pressure, complex layer interaction) is virtually identical to many of the mechanical challenges you face in AR/VR waveguides, cover-glass stacks, foldable displays, sensor windows, hard-tool coating systems, or even biological materials.
Several customers follow the stress analysis with the use of CritLoad and iStress modules for exactly these kinds of problems — automatically finding the real worst-case load scenario and then optimizing the stack for maximum durability, often in just a few minutes.
If you ever run into a project where mechanical reliability becomes critical (scratch resistance, particle impact, etc.) these modules usually save weeks of trial-and-error. We also have capabilities to add three-body contact conditions and surface roughness contact simulations.
We’re always happy to provide a free trial of the module with a preloaded example.
Know someone who designs airport runways, wind-turbine foundations, rail infrastructure, or heavy composites?
Forward this email. They’re usually amazed that software originally made for 2 nm thin films can solve their meter-scale problems in seconds.
References:
Plane Image by WikimediaImages from Pixabay
Tire image by dominador from Pixabay
Details:
The tire diameter of the most sold commercial airplanes (Boeing 737 400 and Airbus 320 family) is 40 inch. We used database values for the material parameters.

If you have any questions concerning the theory, please contact Norbert Schwarzer directly via email: n.schwarzer@siomec.de
If you have any questions concerning the software and animation, please contact Nick Bierwisch: n.bierwisch@siomec.de
For all other concerns (software, offers, development, investor requests) address Peggy Heuer-Schwarzer: p.heuer@siomec.de or Troy vom Braucke: troy@gpplasma.com
SIO the other newsletter – No. 150: SIOmec’s OPfC® module – recap
Nanoindentation is the go-to method for local, quantitative mechanical characterization when macroscopic tests fail due to size, inhomogeneity, or surface sensitivity. Load–depth curves enable extraction of mechanical properties, property mapping, small-scale deformation mechanisms, time-dependent behavior, fracture toughness, and delamination resistance in semiconductors, biomaterials, metals & alloys, polymers & soft materials, and for quality control.
The OPfC® (“Oliver & Pharr for Coatings”) module — our first fully automated analysis tool — determines the true Young’s modulus and yield strength of thin coatings by accounting for the complete substrate/coating structure and all known material parameters. Unlike the standard Oliver & Pharr method, which yields only an effective modulus and hardness of an equivalent homogeneous half-space, OPfC® remains accurate even when coating thickness violates the 1/10 rule. Results are directly exportable for FilmDoctor®.

Example
1.1 µm thick hard coating on silicon substrate. Maximum indentation depth ≈ 250 nm (≈ 23% of coating thickness), significantly exceeding the 10% rule. The standard Oliver & Pharr (O&P) analysis therefore yields a reduced modulus strongly influenced by the softer silicon substrate (E = 165 GPa). Data courtesy of MicroMaterials.
OPfC® first fits the load–depth curve to determine the true coating modulus. It then computes the full stress–strain field throughout the coating/substrate system. When plastic deformation occurs in the coating, the peak von Mises stress is reported as the coating yield strength. The von Mises stress distribution is displayed directly on the OPfC® results page (see Figure 2).
Results
- Coating Young’s modulus (OPfC®): 408.3 GPa
- Effective modulus (Oliver & Pharr): 276.4 GPa
The higher coating modulus extracted by OPfC® is physically reasonable because the softer substrate (165 GPa) lowers the apparent O&P value.

The stress-field plot confirms excellent measurement design: plastic deformation and maximum stresses are confined to the coating, without substrate yielding. OPfC® quantitatively separates substrate contributions, providing clear diagnostic indicators of each layer’s influence and the noise floor.
Although a shallower indentation would further reduce substrate effects, it risks increased influence from surface roughness. In our future newsletters SIOmec will cover such influences and other information the OPfC® module can give you.
If you have any questions concerning the theory, please contact Norbert Schwarzer directly via email: n.schwarzer@siomec.de
If you have any questions concerning the software and animation, please contact Nick Bierwisch: n.bierwisch@siomec.de
For all other concerns (software, offers, development, investor requests) address Peggy Heuer-Schwarzer: p.heuer@siomec.de or Troy vom Braucke: troy@gpplasma.com
SIO the other newsletter – No. 149: Gorilla3D developer at CodeRage 2025
In our newsletter no. 142 we informed our customers about something out of our usual box. A talk given by Eric Berger, the lead developer of the Gorilla3D framework which we use for our 3D views.
Here is his summary:
“EKON went very well. The feedback was consistently positive, and in some cases, even surprising enthusiastic.
I think for the first time, people saw that it’s not just about gaming.
Above all, the real-world connection to existing applications, like your projects, sparked enthusiasm.”
We are glad that our examples could help to understand the power of this great framework.
He will give a similar presentation during the CodeRage 2025 event (december 1st to 5th and 8th to 10th) on the Embarcadero Technologies youtube channel:

It will be broadcasted on Wednesday the 3rd at 8:00 p.m. GMT and is named “Extend FireMonkey – Develop Modern 3D Applications with Gorilla3D”.



You can also visit our website (e.g., https://siomec.com/applications/graphene) or look up the news archive for more details.
If you have any questions concerning the theory, please contact Norbert Schwarzer directly via email: n.schwarzer@siomec.de
If you have any questions concerning the software and animation, please contact Nick Bierwisch: n.bierwisch@siomec.de
For all other concerns (software, offers, development, investor requests) address Peggy Heuer-Schwarzer: p.heuer@siomec.de or Troy vom Braucke: troy@gpplasma.com
SIO the other newsletter – No. 148: SIO Uncovers Criticalities Hidden in Structures – Part 1 Weak Interface
By Troy vom Braucke
What if an overlooked tensile stress shift at the interface—lowering yield strength and Young’s modulus—triggers delamination, sparking multimillion-dollar automotive recalls or degrading performance in consumer electronics or decorative hardware? In deposition-intensive industries, film stress can mask this flaw until loads reveal it, endangering qualification and reliability [see Fig. 1].

For coating designers, process engineers, and product managers, this poses a primary challenge in deposition processes across industries—from paints and protective ceramics to electronics in consumer devices and engine components in high-end vehicles—emphasizing the need for advanced simulation and design optimization to mitigate risks and ensure reliability.
If the coating system operates near its limits, issues may emerge only when deposition processes drift within operating windows or film thickness varies beyond considered ranges—conditions often untested during development and qualification against potential extremes of the application.
FilmDoctor® Studio simulates these extremes (e.g., changes in E modulus, yield stress, thickness) under a variety of worst-case scenarios, enabling adjustments to coating properties or narrowing of deposition windows to sustain performance and quality.
Different contact sizes and loads position maximum von Mises stress at varying depths within the coating (see Fig. 2). In PECVD-deposited DLC coatings, interface layers of distinct materials often promote adhesion by providing a transition layer between the steel substrate and carbon film.

If an application’s contact size and loading from a counterpart place the maximum critical load in the DLC film’s compressive stress region (left plateau in Fig. 3a), the interface and substrate remain protected. Conversely, critical loads at or near to the interface may exceed its yield strength, causing plastic deformation and / or film cracking leading to delamination (Fig. 3b).


Fig 3. Stress analysis of DLC film [2] with FilmDoctor®: a) measured stress profile via nanoindentation, surface (left), interface (right). Showing compressive stress becoming tensile at the interface (with corresponding drop in measured yield strength not shown). b) von Mises stress analysis for a critical contact condition revealing interface yield strength exceeded – leading to separation of coating from substrate.
Indentation and scratch modules in FilmDoctor® enable measured data to identify critical contact conditions for your coating system, offering design feedback and quality control assurance.
In part two of this series, I’ll use these and similar structural examples to briefly look at defects in coatings with FilmDoctor®. Interestingly, material structures analogize financial market trading—drawing on Schwarzer’s formulation for dynamic bank stress tests [3]—where similar concepts mask trades—potentially explaining one quant firm’s 66%+ annual pre-fee returns over 30 years.
Importantly we will see how these FilmDoctor® capabilities help to understand and design better coatings.
If you have any questions concerning the theory, please contact Norbert Schwarzer directly via email: n.schwarzer@siomec.de
If you have any questions concerning the software and animation, please contact Nick Bierwisch: n.bierwisch@siomec.de
For all other concerns (software, offers, development, investor requests) address Peggy Heuer-Schwarzer: p.heuer@siomec.de or Troy vom Braucke: troy@gpplasma.com
[1] Kolawole, F. O., et al. (2019). Failure of diamond-like carbon (DLC) coatings in automobile engines—A review. Proceedings on Engineering Sciences, 1(1), 171–180.
[2] vom Braucke, T., Papa, F., Schwarzer, J., & Schwarzer, N. (2024). Analytical methods – applied. In B. Beake & T. Liskiewicz (Eds.), Nanomechanics for Coatings and Engineering Surfaces: Test Methods, Development Strategies, Modeling Approaches, and Applications (pp. 343–367). Elsevier.
[3] Schwarzer, N. See example 4, “A Consequent Dynamic Bank Stress Test” under http://siomec.com/higgs/
SIO the other newsletter – No. 147: SIO TestOptimizer revisited
By Nick Bierwisch
One session of the 2nd Mechanical Characterization Seminar in Graz (see our newsletters 144 and 146) was dedicated to scratch measurements. A common suggestion in the discussions after the talks was to check about using a tip with a different size (usually a smaller one). In some cases, the customers are probably bound to their available tips, but in modern devices changing a tip is really easy.
I asked Google about “scratch measurement tip size” and the AI-generated answer was:
“1-2 µm radius: Used for nano-scratch tests to measure the mechanical properties of thin films with high precision.
50-200 µm radius: Used for “severe” scratch tests that require higher loads to create more significant damage.
400 µm (0.4 mm) tip radius: A common size for micro-scratch tests on coatings.”
As you can see there is quite a big range (1 µm to 400 µm) suggested, but it’s not connected to the material parameters of the samples to be tested.
What if we could use the computer to advise the best testing parameters taking the material parameters and the purpose of the experiment into account? This could save a lot of measurement time and therefore money to get the results needed from such measurements.
Our software module TestOptimizer was developed exactly for these cases.
A typical workflow to find good test parameters using a scratch measurement is described in this example.
You can find more information by watching the tutorial video:
If you have any questions concerning the theory, please contact Norbert Schwarzer directly via email: n.schwarzer@siomec.de
If you have any questions concerning the software and animation, please contact Nick Bierwisch: n.bierwisch@siomec.de
For all other concerns (software, offers, development, investor requests) address Peggy Heuer-Schwarzer: p.heuer@siomec.de or Troy vom Braucke: troy@gpplasma.com
SIO the other newsletter – No. 146: Mechanical Surface Characterization report
By Nick Bierwisch
As a SIOmec team member I took part in the second edition of the Mechanical Surface Characterization organized by Anton Paar (see newsletter no. 144). This year it took place at their headquarters in Graz, Austria. Compared to the first edition in 2023 (which was held in Neuchatel, Suisse) the number of participants increased by approximately 33%, from 60 to 80 people. I was able to take part in an interesting tour through most of the facilities and see how the measurement devices are built.
It was nice to meet many people from the first seminar again and get to know a lot of new ones. The participants shared a lot of their work, mostly research but also real applications. Interesting new ways to use machine learning in this field were shown, and a new scratch measurement method for very thin coatings was introduced.

My talk covered a newly implemented way to ease and speed up the measurement data export from the Anton Paar software packages to our SIOmec software packages. This way uses the Python feature included in the Anton Paar software. It was nearly unknown in the audience so far, but we will stay on that path to further improve the user experience and keep making the everyday work as easy as possible. We have a lot of ideas in mind and will keep you up-to-date in our future newsletters.

If you have any questions concerning the theory, please contact Norbert Schwarzer directly via email: n.schwarzer@siomec.de
If you have any questions concerning the software and animation, please contact Nick Bierwisch: n.bierwisch@siomec.de
For all other concerns (software, offers, development, investor requests) address Peggy Heuer-Schwarzer: p.heuer@siomec.de or Troy vom Braucke: troy@gpplasma.com
SIO the other newsletter – No. 145: Black November: Unlocking Geometry-Driven Long Range Quantum Coherence
By Troy vom Braucke
Dear SiOmec Community,
In the rapidly evolving world of quantum materials, a groundbreaking discovery is reshaping how we think about electron behavior. Recent research, published on Phys.org, reveals that the “geometry of Kagome crystals*” can directly control long range quantum coherence among electrons.
The coherent patterns, insensitive to material specifics but tied to device geometry, point to a collective many-body effect, possibly involving orbital currents or charge-spin correlations, distinct from conventional superconductivity.

Key Insights from the Study:
– Scientists sculpted micrometer-scale pillars with focused Ion beam milling in Kagome crystals and applied magnetic fields.
– This triggered coherent electron interference patterns that varied with the crystal’s shape and persisted even under strain.
– The result: Structure-defined quantum states, where material architecture—not just composition—dictates electronic properties.
[Read the full article here].
This geometry-driven coherence opens a new design paradigm for advanced quantum devices, from ultra-efficient computing to next-gen sensors. And from our previous newsletters, you will recognize that the math is not limited to ‘just’ materials.
Exclusive Black November Opportunity: FilmDoctor’s Advanced Simulation Tools at Your Service
At SiOmec, our FilmDoctor in-house development tools are already capable to simulate and optimize long-range coherent domains in materials like Kagome structures.



Image: long range coherence in orbital clusters using SiOmec analytical physics.
We typically reserve this cutting-edge physics capability for internal R&D. But for Black November, we’re extending it as a select service to our valued customers.
Interested in leveraging this quantum materials breakthrough before anyone else?
Partner with us to:
– Model electron/photon coherence in custom geometries/structures.
– Reverse optimize material structure designs and magnetic field interactions.
– Accelerate your product and process innovation.
This service is not limited to materials – the physics of coherent domains also applies to socioeconomic systems, finance, business structure and team optimization, marketing strategies, and health tech.
Beat the Black Friday noise by supercharging your quantum device design—exclusive project priority spots given for November 2025 customers.
Contact us today to secure your spot. Limited availability.
* The Kagome lattice is a 2D pattern of corner-sharing triangles that looks like the bamboo-basket weave of Japanese children’s toys (Kagome balls) or traditional basket lids.
If you have any questions concerning the theory, please contact Norbert Schwarzer directly via email: n.schwarzer@siomec.de
If you have any questions concerning the software and animation, please contact Nick Bierwisch: n.bierwisch@siomec.de
For all other concerns (software, offers, development, investor requests) address Peggy Heuer-Schwarzer: p.heuer@siomec.de or Troy vom Braucke: troy@gpplasma.com
SIO the other newsletter – No. 144: SIOmec at Anton Paar Seminar in Graz, Austria
By Nick Bierwisch
Next week, SIOmec team member and programmer Nick Bierwisch will attend the Anton Paar Mechanical Surface Characterization Seminar in Graz, which is held from November 5th to 7th, 2025.

This second meeting “[…] offers an excellent opportunity to explore new trends and applications in mechanical surface characterization. It brings together international experts with a focus on nanoindentation, tribology, and scratch testing.” (see: https://www.anton-paar.com/corp-en/mechanical-surface-characterization-seminar/)
Nick Bierwisch will give a talk with the title “FilmDoctor® goes Anton Paar – 1 click analysis” on Thursday, 6th of November, at 4:45p.m.
This talk will introduce the developments we made to simplify the measurement data analysis (see also newsletters 135, 136 and 137) and showcase the planned improvements.
For more information see these videos:
If you have any questions concerning the theory, please contact Norbert Schwarzer directly via email: n.schwarzer@siomec.de
If you have any questions concerning the software and animation, please contact Nick Bierwisch: n.bierwisch@siomec.de
For all other concerns (software, offers, development, investor requests) address Peggy Heuer-Schwarzer: p.heuer@siomec.de or Troy vom Braucke: troy@gpplasma.com
SIO the other newsletter – No. 143: Chaos Killing Your Company? Conquer it.
By Troy vom Braucke
Dr. Norbert Schwarzer’s book Fluid Universe – The Way of Structured Water introduces the physics of coherent domains, a groundbreaking framework for many applications. Inspired by my own experience as an R&D director – I considered if it might help with optimizing team dynamics and innovation. Exploring the book’s application with global leaders, I connected with Prof. Dr. Michaéla C. Schippers, ranked among the top 1.2% of business management scientists worldwide (Elsevier BV, 2023), at Rotterdam School of Management.
I wrote (summarized): “It may interest you due to parallels of the physics of coherent domains with life crafting, team reflexivity (dynamic coherent domains), and behavioural change (phase transitions). … In physical terms, this (life crafting) may be seen as a parallel to phase alignment of coherent domains, where individual oscillations become synchronized… Allowing to maximize efficient energy flow (almost effortless communication) across the system’s “degrees of freedom”.
While waiting for the response, I considered that it may offer THE mathematical approach to dynamically align temporary project teams. Enabling team performance and structural optimization – as a company scales without sacrificing all the other important needs of the business to serve the customers. Because all too often what works in a small team fails to work as the team and company grow.

Unaligned Teams: Risk of Chaos
Diverse teams, with varied innovation styles (analytical, creative, planning, engagement), risk conflict and underperformance without alignment. Homogeneous teams reach consensus quickly for low-complexity tasks and fast decision making, but underperform on complex innovative challenges [1].
Aligned Teams: Innovation Powerhouse
An aligned group of diverse individuals synchronize complementary strengths, outperforming homogeneous groups in innovation and efficiency [1]. For the most highly successful teams, what if being ‘in the zone’ or that ‘flow state’, where communication flows effortlessly is just a (super-)structure optimization problem?
I believe Schwarzer has found the solution here [2], and his work on ‘Stable Islands of Dimensionality’ as explained in the previous newsletter enhances the toolbox for finding the optimum stable team structures for temporary projects [3], notwithstanding to help the team find the optimum solution that necessitated the team in the first place.
Then another question arose, do those super successful teams have a memory of that flow state – allowing them a short cut back to that state on the next project they work together on?
I’d love to hear from our readers (or the Pixar team) on what they think about that, as the book discusses the requirements of a type of fluid memory – which leads to even more interesting questions when comparing physical and psychological systems. Like the peer-reviewed literature on organ transplant recipients acquiring donor memories or personality traits [4, 5].

Schippers then replied (summarized): The parallels you draw between coherent domains, phase alignment, and the structured processes underlying Life Crafting and team reflexivity resonate deeply with my own research on purpose, behavioural change, and psychosocial capital.
Your interpretation of Life Crafting—as a process of synchronizing one’s values, goals, and actions into a coherent field of purpose—beautifully mirrors what you describe in physical terms as phase alignment of coherent domains. This bridging of physics and psychology offers an extraordinary opportunity to understand human flourishing and transformation through a unifying systems lens. Norbert’s forthcoming Fluid Universe – The Way of Structured Water sounds fascinating.
Life Crafting developed by Prof. Dr. Michaéla C. Schippers, combines insights from positive psychology, self-determination theory, and goal-setting research to help people design a life that promotes well-being, motivation, and societal contribution. Participants typically engage in guided writing and reflection exercises — such as envisioning their “best possible future self” — which trigger self-regulation, coherence, and long-term behavioural change.
At its core, Life Crafting is about creating intentional alignment between who you are, what you value, and what you do — cultivating meaning, resilience, and “unity through meaningful difference.”
Fluid Universe – The Way of Structured Water may just provide the potential to build a powerful toolbox to dynamically maximize team performance (and structure) for innovation as you scale or adapt to a shifting market. I envision the ultimate future CEO running their company as a ‘Fluid Universe’, using an intelligent toolbox to enable teams to reliably enter the ‘zone’ or ‘flow state’—forming coherent super-structures [6, 7] for high performance, minimizing management overhead while maximizing innovation and speed.
References
[1] Bowers, C.A., Pharmer, J.A., & Salas, E. (2000). When member homogeneity is needed in work teams: A meta-analysis. Small Group Research, 31(3), 305–327.
[2] Schwarzer, N. Fluid Universe – The Way of Structured Water, Jenny Stanford Publishing, expected 2026.
[3] Schwarzer, N. (2025). Stable Islands of Dimensionality, SiO paper, a SIO science paper, www.siomec.de
[4] Liester, M.B. (2020). Personality changes following heart transplantation: The role of cellular memory. Medical Hypotheses, 135, 109468. (22 citations)
[5] Carter, B., Khoshnaw, L., Simmons, M., Hines, L., Wolfe, B., Liester, M. (2024). Personality Changes Associated with Organ Transplants. Transplantology, 5(1), 12-26. (Recent; citations accumulating
[6] Schwarzer, N. (2025). Supra Fluid Universe – The Way of Coherent Domains: Solving a few Problems, a SIO science book, to be published, www.siomec.de
[7] Schwarzer, N. (2024). Quantum Gravity War: How Will the Nearby Unification of Physics Change the Future of Warfare (1st ed.). Jenny Stanford Publishing.
Contact info@siomec.com to explore building Fluid Universe project applications with intelligent physics tools.
If you have any questions concerning the theory, please contact Norbert Schwarzer directly via email: n.schwarzer@siomec.de
If you have any questions concerning the software and animation, please contact Nick Bierwisch: n.bierwisch@siomec.de
For all other concerns (software, offers, development, investor requests) address Peggy Heuer-Schwarzer: p.heuer@siomec.de or Troy vom Braucke: troy@gpplasma.com
SIO the other newsletter – No. 142: Gorilla3D developer at EKON29
Gorilla3D developer at EKON29, Germany
This newsletter is out of our usual box and we want to inform you about a talk given by Eric Berger, lead developer of the Gorilla3D framework. Most of our recent 3D improvements (especially the tomographic view) are based on this framework. In close partnership Gorilla implemented new features for us first. In the talk Mr. Berger will introduce the framework and show a set of application examples which will include some of our use cases.
The talk will be given on the EKON29 (October 27th to 30th) in Düsseldorf, Germany.

It will be presented on Monday, the 27th, at 4:30 p.m. and is titled:
“FireMonkey 3D erweitern – So entwickelst du moderne 3D-Anwendungen mit Gorilla3D”
Here are a few examples of projects in which we used the Gorilla3D components:

Von Mises stress distribution in a graphene layer – more details here

Von mises stress distribution of a complex multiple contact scenario – see newsletter no. 131
Load dot feature animation – see newsletter no. 127
If you have any questions concerning the theory, please contact Norbert Schwarzer directly via email: n.schwarzer@siomec.de
If you have any questions concerning the software and animation, please contact Nick Bierwisch: n.bierwisch@siomec.de
For all other concerns (software, offers, development, investor requests) address Peggy Heuer-Schwarzer: p.heuer@siomec.de or Troy vom Braucke: troy@gpplasma.com
SIO the other newsletter – No. 141: FilmDoctor Viewer update
Update on SIOmec FilmDoctor® Viewer
This week we present an update of our Software package FilmDoctor® Viewer. We implemented the tomographic view to be able to provide more examples to the FD Viewer.
As announced in the newsletter no. 79 the FD Viewer can be used to look at the data of precalculated FilmDoctor® projects, coming either from our website or colleagues and partners using SIO software products.
As a first example we provide the data of a calculation we made to investigate 2D materials, especially graphene. You can read more about it here. The latest version of the FilmDoctor® Viewer and the graphene example data can be downloaded from our website.

If you have any questions concerning the theory, please contact Norbert Schwarzer directly via email: n.schwarzer@siomec.de
If you have any questions concerning the software and animation, please contact Nick Bierwisch: n.bierwisch@siomec.de
For all other concerns (software, offers, development, investor requests) address Peggy Heuer-Schwarzer: p.heuer@siomec.de or Troy vom Braucke: troy@gpplasma.com
SIO the other newsletter – No. 140: How Does Heisenberg’s Uncertainty Principle Look Like in a Quantum Gravity Theory?
In layman’s terms, the classical Heisenberg uncertainty principle says you can’t know both the exact position and speed of a tiny particle, like an electron, at the same time. The more precisely you measure one, the less you know about the other. It’s like trying to pin down a fast-moving bug—you can either catch where it is or see how fast it’s going, but not both perfectly.
Question: How does Heisenberg’s Uncertainty Principle look like in a Quantum Gravity Theory?
Answer: Quite different than we currently know it, but we still obtain the classical result when assuming “weak gravity” and high dimensionality conditions.
Question: So, near black holes we would experience a different Heisenberg?
Answer: Yes, very different indeed!… but don’t forget about the “high dimensionality” condition!
Question: Where is this of importance?
Answer: Quantum Computing and AI. De facto, it changes everything there and even might give us the missing piece to understand consciousness.
But there are also very important applications in other fields.
Question: Like what?
Answer: Material science, socio-economics, market behavior, and – of course – finance!


Image (left) and animated gif (right) capturing sodium chloride (NaCl) crystals inside a carbon nanotube at the atomic scale as water evaporates, showing the phase transition from solution to solid. From noisy toward an ordered crystalline state. Source: J. Am. Chem. Soc. 2021, 143, 4, 1763-1767
Question: Really… the Quantum Gravity Heisenberg Uncertainty? What could this possibly have to do with these fields?
Answer: Not much in ordinary circumstances, but in the vicinity of phase transitions, when dominant scales disappear and even macroscopic systems are starting to behave chaotic or quantum-like, the otherwise microscopic uncertainty becomes important… VERY important. De facto, it can even be applied to steer systems in the desired direction, achieving the required outcome without much effort. In psychology, but also in economy there are some who refer to this as “wobble effect”. It should be pointed out, however, that apparently life has also used this strategy to achieve higher flexibility in genetic base-pairings. There, which is say in molecular biology, they even use the term “wobble effect”. So, the application or the use of “uncertainty” in a near-macroscopic environment or at least with macroscopic outcomes probably goes back to the first cells within the primordial soup.
In psychology, or mass psychology these effects can lead to rather irrational behavioral patterns.
In material science, we can apply this effect by holding materials, especially material composites in or near phase transitional states and using the omnipresent and scale-invariant uncertainty to achieve pretty unusual outcomes without much energy.
And in thin films?
Structural defects hidden within a material may already be close to triggering a phase transition. Then steered with just a little increase in applied stress – either intended or unintended, the latter perhaps leading to catastrophic failure. That’s where FilmDoctor comes in to help understand the material behavior under a variety of loading scenarios and allowing for design optimization.
If you have any questions concerning the theory, please contact Norbert Schwarzer directly via email: n.schwarzer@siomec.de
If you have any questions concerning the software and animation, please contact Nick Bierwisch: n.bierwisch@siomec.de
For all other concerns (software, offers, development, investor requests) address Peggy Heuer-Schwarzer: p.heuer@siomec.de or Troy vom Braucke: troy@gpplasma.com
SIO the other newsletter – No. 139: Stable Islands of Dimensionality
Stable Islands of Dimensionality
By Dr. rer. nat. habil. Norbert Schwarzer
When investigating multilayer systems of, for instance, alternating patterns of pliant and hard coatings, one often finds that certain combinations of coating thicknesses and numbers of stacks show a much better performance with respect to certain mechanical loading conditions than others. With the help of our mathematical and software tools (e.g., [A, B, C]) we can work out connections between the coating properties, the typical practical loading situations of the application in question, and the degrees of freedom of the multilayer system with their entanglement to apparently critical stack numbers. Seeing and mathematically handling such degrees of freedom/properties/attributes as dimensions, gives us the opportunity of a rigorous apparatus for the search of optima as the too often well-hidden needle in the haystack of possibilities.
Digging a bit deeper and looking for the fundamental origin for our more or less empirical observations and mathematical findings about islands of stability and reliability, we discovered a rather astounding connection to some very basic concepts in theoretical physics.
For instance, in some previous papers we have shown that the variation of a system with respect to its dimensionality does not only give us thermodynamics [A1 – A5], and via the Bekenstein-Hawking thought experiment [A6 – A8] a dimensional understanding of the inner structure of black holes [A1 – A5, A9], but even helps us solving the problem of the origin of the fine structure constant [A10] and provides a metric understanding of the Pauli exclusion principle [A11, A12].
From there, it is not too far to more generally investigate the possibility for variational and non-variational conditions for the existence of stable islands of dimensionality in which certain systems can or want to exist. And as multilayer systems are also just systems, they, too, might “like to exists” in certain dimensionalities, which of course, just means that they show a better performance when being designed towards their integrity optima. Finding these optima is a complex task, but our toolbox [A] can help along the way.
References
[A] N. Schwarzer, “FilmDoctor”, software package, www.siomec.de; e.g., see:
[B] N. Schwarzer, “Scale invariant mechanical surface optimization applying analytical time dependent contact mechanics for layered structures”, Chapter 22 in “Applied Nanoindentation in Advanced Materials”, Atul Tiwari (Editor), Sridhar Natarajan (Co-Editor), ISBN: 978-1-119-08449-5, 2017, www.wiley.com/WileyCDA/WileyTitle/productCd-1119084490.html
[C] T. vom Braucke, N. Schwarzer, F. Papa, J. Schwarzer, “Analytical Methods”, Chapter 13 in “Nanomechanics for Coatings and Engineering Surfaces: Test Methods, Development Strategies, Modeling Approaches, and Applications”. Ben Beake (editor), Tomasz Liskiewicz (co-editor) 1st Edition – November 15, 2024. ISBN: 9780443133343
[1] N. Schwarzer, “The World Formula: A Late Recognition of David Hilbert ‘s Stroke of Genius”, Jenny Stanford Publishing, ISBN: 9789814877206, pp. 170
[2] N. Schwarzer: “The Math of Body, Soul and the Universe”, Jenny Stanford Publishing, ISBN 9789814968249
[3] N. Schwarzer, “Mathematical Psychology – The World of Thoughts as a Quantum Space-Time with a Gravitational Core”, Jenny Stanford Publishing, ISBN: 9789815129274
[4] W. Wismann, D. Martin, N. Schwarzer, “Creation, Separation and the Mind…”, 2024, RASA strategy book, ISBN 979-8-218-44483-9
[5] N. Schwarzer, “Fluid Universe – The Way of Structured Water; Mathematical Foundation” , 2025, Jenny Stanford Pub., a mathematical foundations book-project
[6] J. D. Bekenstein, “Black holes and entropy”, Phys. Rev. D 7:2333-2346 (1973)
[7] J. D. Bekenstein, “Information in the Holographic Universe”, Scientific American, Volume 289, Number 2, August 2003, p. 61
[A8] S.W. Hawking, “Particle creation by black holes”, Communications in Mathematical Physics, vol. 43, no. 3, pp. 199–220, 1975
[A9] N. Schwarzer, “The Quantum Black Hole”, Part 7b of “Medical Socio-Economic Quantum Gravity”, Self-published, Amazon Digital Services, March 2021, Kindle
[A10] N. Schwarzer, “Solving the 1/137-Riddle?”, 2025, a SIO publication, www.siomec.de
[A11] N. Schwarzer, “The Fine Structure Constant just a Connector Between Standard Model and Reality?”, 2025, a SIO publication, www.siomec.de
[A12] W. Pauli, “Über den Zusammenhang des Abschlusses der Elektronengruppen im Atom mit der Komplexstruktur der Spektren” (1925), Zeitschrift für Physik 31: 765–783, Bibcode:1925ZPhy…31..765P. doi:10.1007/BF02980631
[A13] N. Schwarzer, “The Funny Connection between the Pauli Extremal Principle and the Stupidity of Man”, 2025, a SIO publication, www.siomec.de
If you have any questions concerning the theory, please contact Norbert Schwarzer directly via email: n.schwarzer@siomec.de
If you have any questions concerning the software and animation, please contact Nick Bierwisch: n.bierwisch@siomec.de
For all other concerns (software, offers, development, investor requests) address Peggy Heuer-Schwarzer: p.heuer@siomec.de or Troy vom Braucke: troy@gpplasma.com
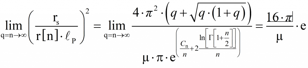
SIO the other newsletter – No. 138: How Black Holes Could Help Us Understand the Fine Structure Constant 1/137…
How Black Holes Could Help Us Understand the Fine Structure Constant 1/137…
By Norbert Schwarzer
An important parameter in physics is the Sommerfeld or fine-structure constant, usually being denoted by the Greek letter alpha.
It might probably sound almost surreal that one can derive this constant from the so-called Bekenstein-Hawking thought experiment where photons, coding single bits, are thrown into black holes.

Two photons encircling a black hole. Now the wavelength of one photon (green) is a little bit shorter than the circumference of the black hole so that it always stays inside when performing its circles behind the event horizon. The other photon’s wavelength (orange) is exactly the circumference of the black hole and consequently it does not always stay inside when doing its voyage. We assume that this second option should be ruled out when doing the Bekenstein-Hawking thought experiment.
Here, the fine-structure constant emerges from a limiting procedure:

with µ very close to 1 and 16*e*π=136.636 (e denotes Euler’s number).
Please note how close this number is to the 137… in the fine-structure constant α=1/137.035999177.
With the Sommerfeld constant being very important also in many applications in material science, we see that at least some topics in the more theoretical “theoretical physics” is not at all useless when it comes to a deeper understanding of the meaning of certain parameters in our description of matter.
If you have any questions concerning the theory, please contact Norbert Schwarzer directly via email: n.schwarzer@siomec.de
If you have any questions concerning the software and animation, please contact Nick Bierwisch: n.bierwisch@siomec.de
For all other concerns (software, offers, development, investor requests) address Peggy Heuer-Schwarzer: p.heuer@siomec.de or Troy vom Braucke: troy@gpplasma.com
SIO the other newsletter – No. 137: FilmDoctor® goes Anton Paar – 1 click analysis – Part III
FilmDoctor® goes Anton Paar – 1 click analysis – Part III
With another short follow-up of our newsletters No. 135 and 136 we close this mini-series. Together with Anton Paar, we created an export script for the measurement data of scratch experiments. This works in the same way as the indentation data export using our dedicated file format (.fdssa). Again, with only one click the data is extracted, converted in the correct format, and given to the installed SIO software. This works with our FilmDoctor, ISA and ToolBox product lines.
This new feature can save a lot of time, because the customers can get rid of 2 file open/save dialogs. The whole data exporting and the SIO software starting process comes down to only a few seconds.
The following short video will demonstrate the workflow:
If you have any questions concerning the theory, please contact Norbert Schwarzer directly via email: n.schwarzer@siomec.de
If you have any questions concerning the software and animation, please contact Nick Bierwisch: n.bierwisch@siomec.de
For all other concerns (software, offers, development, investor requests) address Peggy Heuer-Schwarzer: p.heuer@siomec.de or Troy vom Braucke: troy@gpplasma.com
SIO the other newsletter – No. 136: FilmDoctor® goes Anton Paar – 1 click analysis – Part II
FilmDoctor® goes Anton Paar – 1 click analysis – Part II
By Nick Bierwisch
Just a short follow-up of our newsletter no. 135: With the help of Anton Paar, we now reached our goal of a one click workflow for the data export and import to our software FilmDoctor!
This new feature can save a lot of time, because the customers can get rid of 2 file open/save dialogs. The whole data exporting and SIO software starting process comes down to only a few seconds.
The following short videos will demonstrate the workflow:
If you have any questions concerning the theory, please contact Norbert Schwarzer directly via email: n.schwarzer@siomec.de
If you have any questions concerning the software and animation, please contact Nick Bierwisch: n.bierwisch@siomec.de
For all other concerns (software, offers, development, investor requests) address Peggy Heuer-Schwarzer: p.heuer@siomec.de or Troy vom Braucke: troy@gpplasma.com
SIO the other newsletter – No. 135: FilmDoctor® goes Anton Paar – 1 click analysis
In this newsletter we want to introduce a new quality of life update. A simplified data exchange between the Anton Paar Indentation software and our SIO software packages. As you may know, we have developed special data formats to ease up the usage and minimize user inputs in the analysis workflows. The indentation device software from the Anton Paar GmbH supports our file format (.fdop).

The workflow to export the data from the device software and import it into the SIO software contain the following 4 steps:

Anton Paar introduced a new feature a few years ago that allows the customers to use Python scripts to access the data and perform additional operations with that data. One of the standard scripts included in the software exports the data to an Excel file using this technology. We now use this Python feature too to ease up the data export and import process. Our goal is to simplify the workflow to only one click in the Anton Paar indentation software.
The actual workflow using this technology is the following:

As you can see, we brought the export/import workflow down to 2 steps because the Python script creates and names the exported .fdop file automatically, and after all the data is collected the SIO software is started automatically by the Python script using the newly created file as a parameter. The SIO software imports that data, opens the OPfC® module, and is ready to start the analysis.
In case of multiple measurements with the same load, the customer has to select for which measurement the data should be exported. We are in contact with Anton Paar and hope we can eliminate this step to simplify it to only one click in the Anton Paar software.
In summary, this new option will speed up the analysis workflow and therefore save time in your everyday work. Fewer clicks (or interactions) also reduce the risk of input error, mistypes, and so on. The script is added only once to the Anton Paar software and can be used immediately at any time without any additional effort.
If you have any questions concerning the theory, please contact Norbert Schwarzer directly via email: n.schwarzer@siomec.de
If you have any questions concerning the software and animation, please contact Nick Bierwisch: n.bierwisch@siomec.de
For all other concerns (software, offers, development, investor requests) address Peggy Heuer-Schwarzer: p.heuer@siomec.de or Troy vom Braucke: troy@gpplasma.com
SIO the other newsletter – No. 134: Bridging Physics and Neuroscience for Restorative Brain-Computer Interfaces
By Troy vom Braucke
Harnessing Scale-Invariant Physics Toward Restoring Neural Function to Transform Lives
We stand at a turning point in brain-computer interface (BCI) technology, where groundbreaking work—such as Neuralink’s advancements under CEO Jared Birchall and strategic founder Elon Musk, in developing implants like the N1 for restoring motor control, and Dr. Stuart Hameroff and Prof. Roger Penrose’s pioneering research on quantum consciousness through microtubule orchestration (Orch OR theory)—is redefining possibilities for neural repair.
As experts in applying multiscale quantum-gravitational physics, we are exploring foundational principles to complement these efforts by working toward non-invasive solutions drawn from Dr. Norbert Schwarzer’s mathematical physics frameworks [1-4].
Together, we can accelerate the restoration of motor, sensory, and cognitive functions for patients with neurological injuries, building on these remarkable foundations to drive even greater impact.
Restoring Lives Through Neural Repair
Over 5 million Americans live with paralysis, sensory loss, or cognitive impairments due to injury, BCIs offer a potential lifeline to reclaim independence—moving a limb, feeling touch, or communicating again. However, current invasive approaches, like Neuralink’s N1 implant, face challenges: electrode instability, immune responses, and limited signal noise decoding hinder long-term restoration beyond basic motor control.
By applying a holistic, quantum-gravitational model of the brain, we are exploring ways to non-invasively target neural microtubules to repair disrupted nerve signals while overcoming the signal noise & bandwidth problem, potentially restoring not just movement but sensation, speech, and memory. For Neuralink, this could enhance their mission to help patients like those with quadriplegia or ALS, accelerating recovery timelines and minimizing risks. For researchers like Dr. Hameroff, it aligns with quantum biology to explore microtubule-driven neural repair and perhaps further explore the interface of consciousness [1, 3-5].
This approach promises ethical, safer, personalized treatments, offering patients renewed quality of life and reducing the emotional and economic toll of prolonged disability.
Proven Foundations in Physics
Our approach builds on Dr. Norbert Schwarzer’s quantum gravity models, unifying subatomic to macroscopic scales with applications in biophysics, where he recently won the Frank International Biophysics Award for his work on applying mathematical psychology at the multidisciplinary conference SIPS2024 – in honor of Prof. Joachim Frank, 2017 Nobel Laureate in Chemistry.
Key works include:
- The Math of Body, Soul, and the Universe (2023): Applies foundational physics to human systems.
- Quantum Gravity War – How Will the Nearby Unification of Physics Change the Future of Warfare (2024). Applies unified physics to dynamic systems (Metric Quantum Electro Dynamics MQED, Metric Quantum Chromo Dynamic, Quantum Gravity Dynamic), adaptable to neural restoration.
- Mathematical Psychology – The World of Thoughts as a Quantum Space-Time with a Gravitational Core (2024): Presents thought processes in mathematical form for applying precise, individual-focused interventions.
- Fluid Universe – The Way of Structured Water: Mathematical Foundation (forthcoming book). Provides the mathematical and physical foundations of intrinsic structures in non-solid phases without being limited to matter, encompassing fluids, gases, plasmas, degenerated matter, neutron stars, black holes, and beyond. This broad framework models coherent fluid domains, mirroring neural oscillations for repair simulations, enabling quantum dynamics in biological systems.
Building on these proven foundations, we’re applying and validating them commercially across several sectors. Those “other Fields of Use” are often from completely different areas and they may appear as being rather distant from any medical application, like most recently with tech guys in California regarding optimizing hydrocarbon extraction and refinement through fluid and material dynamics [5, 6]. However, the apparent distance to the medical application as discussed here is truly only on a first and quite shallow sight, while a second more deeper consideration shows the fundamental entanglement. Hence, this proven track record ensures reliability of the physics for neural applications.
De facto, we can even state that the technology of the “Higher Order Chemistry” [5, 6] can provide the necessary ingredients and treatment protocols, perhaps even significant break throughs for things like:
- Alzheimer treatment
- Arteriosclerosis and
- anti-VAXX-treatment
We are going to discuss this within some of our future newsletters.
Non-Invasive Neural Restoration
We are working toward simulating the brain as a quantum-gravitational system, leveraging solutions for information collection and optimization in materials and fluid dynamics to map injury-specific defects via non-invasive measurement techniques.
Targeted techniques for applying dynamic fields can then stimulate microtubules with the goal of restoring coherent neural signaling, with potential to address motor, sensory, or cognitive deficits without implants. This incorporates field effects for precise and safely targeted measurement and optimization, real-time adaptation to live dynamic systems, and the physics of entangled coherent domains to enhance interconnected neural fluidity—drawing from Schwarzer’s upcoming expansion of his work in ‘Fluid Universe – The Way of Structured Water.’
This bypasses risks like scarring or signal degradation and bandwidth limitations [see NL#78 Extreme Calculation Speed Up], aligning with Neuralink’s restorative goals and building bridges toward Penrose and Hameroff’s Orch OR theory. By modeling the brain’s “fluid universe,” we aim to ensure personalized, ethical solutions independent of the need and limitations of AI training datasets.
Offering potential to transform patient outcomes by integrating our simulations with current BCI approaches or co-developing non-invasive prototypes.
Looking Ahead: Broader Horizons in Neural Health
When advancing toward these restorative breakthroughs, intriguing possibilities emerge on the horizon. For example, we received customer interest toward improved psychology-based survey and forecasting techniques, and application toward entrepreneurial start-up team optimization. But have another look at the video with a different perspective, the language of man is imprecise, and perhaps these quantum-gravity cognitive models are also showing the stress and strain of communication – trying to understand what was said and interpreting from one’s own perspective. Applying this cognitively, one might improve language communication by finding the optimum approach to get the message across – perhaps with this field approach we might one day have the option to bypass spoken language – with a science-based tool to train and evaluate the success.
Imagine detecting and gently healing psychological injuries by mapping subtle quantum disruptions in mental fields or optimizing learning processes through real-time identification of dynamic mental biases and blocks. As fields interact dynamically, subtle disruptions—akin to psychological injuries or learning blocks—could be detected and gently resolved, pushing users to that optimal edge of discomfort for accelerated personal growth. Perhaps learning another language would become not just easier and faster, but fun?
These hints toward expanded applications underscore the transformative potential of ‘applied’ fundamental physics in neuroscience, inviting us to explore together how far we can go in healing the mind and body.
Literature:
[1] Schwarzer, N. (2023). The Math of Body, Soul, and the Universe (1st ed.). Jenny Stanford Publishing. ISBN: 9789814968249
[2] Schwarzer, N. (2024). Quantum Gravity War: How Will the Nearby Unification of Physics Change the Future of Warfare (1st ed.). Jenny Stanford Publishing. ISBN 9789814968584
[3] Schwarzer, N. (2024). Mathematical Psychology: The World of Thoughts as a Quantum Space-Time with a Gravitational Core (1st ed.). Jenny Stanford Publishing. ISBN: 9789815129274
[4] Schwarzer, N. (expected 2026). Fluid Universe – The Way of Structured Water: Mathematical Foundation. Jenny Stanford Publishing.
[5] W. Wismann, D. Martin, N. Schwarzer (2024). “Creation, Separation and the Mind, the Three Towers of Singularity – The Application of Universal Code in Reality”, RASA Energy, ISBN: 979-8218444839
[6] W. Wismann, N. Schwarzer, “A Higher Order Chemistry”, 2025, a RASA -Institute science paper
If you have any questions concerning the theory, please contact Norbert Schwarzer directly via email: n.schwarzer@siomec.de
If you have any questions concerning the software and animation, please contact Nick Bierwisch: n.bierwisch@siomec.de
For all other concerns (software, offers, development, investor requests) address Peggy Heuer-Schwarzer: p.heuer@siomec.de or Troy vom Braucke: troy@gpplasma.com
SIO the other newsletter – No. 133: A Rechargeable Fuel
Rechargeable Fuel (sometimes also “E-Fuel”)
by Norbert Schwarzer

As far-fetched as it may sound, but the solution to a truly clean fuel circle (rechargeable fuel) is most likely to be found in a field many wanted to put aside as esoteric: “Structured Water”.
The graphics shows structures we found as so-called “Water Photons” in connection with coherent domains inside fluid media. The corresponding math can be found here:
N. Schwarzer, “Fluid Universe – The Way of Structured Water: Mathematical Foundation” , 2025, a J. Stanford Pub book project
If you have any questions concerning the theory, please contact Norbert Schwarzer directly via email: n.schwarzer@siomec.de
If you have any questions concerning the software and animation, please contact Nick Bierwisch: n.bierwisch@siomec.de
For all other concerns (software, offers, development, investor requests) address Peggy Heuer-Schwarzer: p.heuer@siomec.de or Troy vom Braucke: troy@gpplasma.com
SIO the other newsletter – No. 132: Recap: Stress Fields and Uplift in Oil Field Geology – Part III
Recap: Stress Fields and Uplift in Oil Field Geology – Part III
by Troy vom Braucke, Nick Bierwisch
In our newsletters Numbers 119 and 121, we showcased how a lake’s weight over an oil field below creates a dynamic stress field as oil is extracted, causing an uplift around its perimeter. The stress field simulations of the oil extraction causing effects in regions miles beneath your feet but also at the surface.
By animating the FilmDoctor results, this process highlights the forces at work in oil field geology. Importantly, allowing forward planning in anticipation of the oil fields evolution to understand when drilling process parameters need to be adjusted to compensate or when to stop to prevent damage to infrastructure. This visibility allows for more rigorous cost and mitigation planning.
What’s Happening?
The lake’s mass generates a stress field that pushes down on the incompressible aquifer layers, causing a resultant lifting of the surrounding land.
Why It Matters
The implications of this research extend far beyond academic interest – we are more interested to solve industrial problems. For the oil and gas industry, accurately simulating stress-strain data can lead to:
- Extraction Efficiency: Simulating these stress fields helps optimize resource recovery.
- Geological Insight: Visualizing the process reveals how stress dynamics shape hydrocarbon reservoirs.
- Improved Reservoir Management: By understanding how stress fields affect rock permeability, engineers can better predict fluid flow and optimize extraction techniques.
- Enhanced Exploration Strategies: Identifying areas of uplift and stress concentration can help pinpoint potential hydrocarbon traps.
- Reduced Environmental Impact: More precise simulations can lead to more efficient drilling, minimizing the footprint of extraction activities.
FilmDoctor’s Role: The animation makes these complex dynamics clear and actionable for geologists within minutes.
This animation is a key tool for understanding stress in oil exploration. Dive deeper in the original newsletter here.
If you have any questions concerning the theory, please contact Norbert Schwarzer directly via email: n.schwarzer@siomec.de
If you have any questions concerning the software and animation, please contact Nick Bierwisch: n.bierwisch@siomec.de
For all other concerns (software, offers, development, investor requests) address Peggy Heuer-Schwarzer: p.heuer@siomec.de or Troy vom Braucke: troy@gpplasma.com
SIO the other newsletter – No. 131: Indenter Dot Feature in FilmDoctor
In addition to the multi impact (newsletter no. 70) and load dot modules (newsletter no. 127) we added a new feature for complex multiple contact simulations in our software FilmDoctor: the indenter dot feature, which allows to define a set of contact pairings similarly to the load dot module. But here the counterpart properties (material and shape) can be defined and the contact conditions are calculated by the software, instead of entering them by hand.
In nearly all application fields the surfaces aren’t completely flat. But as long as the asperity size is small compared to the contact size idealized shapes for the surfaces can be used for the simulations. In some cases (e.g. unexpected failures, run in simulations) it could be interesting to include the real structure (or at least the biggest asperities) into the simulations. The new feature can help here to define such complex contact conditions.

How to use the new FilmDoctor feature?






The last step is the field calculation. Simply define the calculation region and resolution and start the stress field calculation.
In the different result views the calculated data can be shown, e.g. in the 3D views.


If you have any questions concerning the theory, please contact Norbert Schwarzer directly via email: n.schwarzer@siomec.de
If you have any questions concerning the software and animation, please contact Nick Bierwisch: n.bierwisch@siomec.de
For all other concerns (software, offers, development, investor requests) address Peggy Heuer-Schwarzer: p.heuer@siomec.de or Troy vom Braucke: troy@gpplasma.com
SIO the other newsletter – No. 130: Why the Copenhagen Interpretation of Quantum Theory is incorrect
Why the Copenhagen Interpretation of Quantum Theory is incorrect
Einstein and Schrödinger rejected the statistical interpretation of Quantum Theory and – as we know today – they were right.
Deriving the Quantum equations from a metric principle (an Einstein-Hilbert action), we find that the so-called wave function is just the volume part of the metric of the generalized Quantum Gravity space-time.
Of course, this can sometimes appear as a probability, but (see paper below) that’s not even half of the story…

If you have any questions concerning the theory, please contact Norbert Schwarzer directly via email: n.schwarzer@siomec.de
If you have any questions concerning the software and animation, please contact Nick Bierwisch: n.bierwisch@siomec.de
For all other concerns (software, offers, development, investor requests) address Peggy Heuer-Schwarzer: p.heuer@siomec.de or Troy vom Braucke: troy@gpplasma.com
SIO the other newsletter – No. 129: Why I’m Not Joking About Time
By Norbert Schwarzer
Time – The Worst Avenger There is
During the last team meeting of one of our close partners (RASA®-energy), something funny came up having to do with the fact that there is one parameter in this universe, obviously not being very forgiving.
I’m talking – of course – about time. When being reprimanded about the fact that – as the mathematician of the team – I should have something smart to say about time instead of keeping my mouth shut and more or less stupidly smiling, I answered that:
“…I’m principally avoiding to joke about time, because time has a nasty way of responding. De facto, time is the worst avenger there can be…”
In this short paper, I want to explain what I meant by that… and in order to keep my explanation as general and illustrative as possible, I will try to avoid any math… serious math, I mean.
What is Time and Why is it so Unforgiving
Let us assume that we have a true Theory of Everything and would not need the usual tautology and circular definition when trying to explain what is time [1]. Meaning, we would not end up in a circle of expressions, in essence saying nothing, respectively nothing with respect to the main topic of interest, but still using many words to beat about the bushes, thereby achieving nothing but an intrinsic logic.
In order to avoid this “nothingness”, we start with a fundamental assumption not containing time, but producing it in the end under certain conditions. These conditions should be the ones we should find in our universe, because in this very universe we obviously have and experience the effect of time.
Let our basic assumption be that the universe we are existing in, avoids curvature on an integral level, meaning, there can be some curvature, but summing everything up, the total curvature should disappear. Interestingly, the disappearance of the total curvature is one of the key boundary conditions to allow for the existence of a universe in which we can live in. Let us also assume that the number of degrees of freedom, attributes, properties and so on of the universe is arbitrary. At least, we, as rather simple-minded creatures, should not have the audacity to dare and tell the universe in how many dimensions (nothing else are all these degrees of freedom, attributes, properties and so on) it is allowed to live in (even though many “experts” in the established science do exactly that [1]). When now investigating all options for a dynamic[1] universe to exist under the condition of global/integral “curvatural freedom”, one finds that there needs to be at least one attribute being of imaginary character, which is to say, at least one attribute is like borrowed area. The reader having difficulties to understand the concept of “borrowed area” should just think about borrowed money, which he usually describes by using negative numbers. When a bank account is in the negative this is just “borrowed money”. Now let’s imaging one wants to borrow a piece of area and in order to do so, one takes a square and gives it the side length a and the negative area -A. We know, of course, that, in order to obtain a²=-A (with A being a real number) requires us to introduce imaginary (i*a with ) or complex numbers (i*a+b, with a and b being real numbers). Introducing this imaginary character into our zero-integral curvature approach and giving at least one of the dimensions the necessary “borrowed area” property by making it imaginary, results in time.
So, there is no universe, in which we could live in, which does not need to have at least one dimension (on a global scale) sporting imaginary character. As this automatically means that this gives this very dimension the property of borrowed area and as such just manifests the characteristics of time, we see that there can be no reality for us, without the omnipresence of time.
Our universe is integrally free of curvature, thereby allowing us to live in, and freedom of curvature can only be achieved via imaginary dimensions or borrowed area. A dimension with this property, however, is just time. It has to be omnipresent and, hence, is “always” unyieldingly unforgiving.
Consequences
It should explicitly be pointed out that the fundamental and non-tautological explanation of the phenomenon of time is the cornerstone for a variety of things being strongly entangled with things every economical endeavor or hot key-technology is active in or even relaying on. Neither the underlaying structural components of the fundamental-dynamics and -processes [4], nor the higher order chemistry [5] or its Polar-Selective-Agent-application, nor our generalized and fundamentally based socio-economics concept (RASA®-SIO-economics and the corresponding “Mathematical Psychology” [6]) does work without the non-circular and non-tautological but a fundamental (extremal-principle based) explanation of time. Most interestingly, this especially holds for what is been called Artificial Intelligence where the current linear concepts do not allow for a truly dynamic and self-evolving “universe of the mind”.
References
[1] We need to emphasize that the dynamic character we demand here, is essential, because – after all – we want to describe a universe being capable of allowing our existence. Of course, something like a Minkowsky universe does solve the standard field equations (e.g. [2, 3]) and fulfills the zero-total-curvature condition, but it also allows for absolutely no dynamic and thus, absolutely no live.
[1] just see all standard text books in almost all modern science
[2] D. Hilbert, Die Grundlagen der Physik, Teil 1, Göttinger Nachrichten, 395-407 (1915)
[3] A. Einstein, Grundlage der allgemeinen Relativitätstheorie, Annalen der Physik (ser. 4), 49, 769–822
[4] W. Wismann, D. Martin, N. Schwarzer, “Creation, Separation and the Mind…”, 2024, RASA strategy book, ISBN 979-8-218-44483-9
[5] W. Wismann, N. Schwarzer, “A Higher Order Chemistry“, 2025, a RASA®-Institute booklet
[6] N. Schwarzer, “Mathematical Psychology – The World of Thoughts as a Quantum Space-Time with a Gravitational Core”, Jenny Stanford Publishing, ISBN: 9789815129274
If you have any questions concerning the theory, please contact Norbert Schwarzer directly via email: n.schwarzer@siomec.de
If you have any questions concerning the software and animation, please contact Nick Bierwisch: n.bierwisch@siomec.de
For all other concerns (software, offers, development, investor requests) address Peggy Heuer-Schwarzer: p.heuer@siomec.de or Troy vom Braucke: troy@gpplasma.com
SIO the other newsletter – No. 128: Biological Multichotomies
Biological Multichotomies – The Path Towards Dr. Patrick Soon Shiong’s Quantum Onco-Therapeutics?
By Norbert Schwarzer
On and Off – The Dichotomy of T-Cells
When investigating the behavior of T-cells (and other cells critical to the human immune system), Dr. Soon Shiong discovered a dichotomy regarding the cells’ state of existence.
They appear to exist as switches with an on and an off state. For the layman it may be a bit surprising to find that an important immune cell can appear in an off-state, as he might think that this cell has no use in such a form of existence, but Dr. Soon Shiong discovered that the off-state is of need in order to regulate or balance out the cell’s activity and assure that they cannot run amok on their host[*].
From Treatment to True Healing
This understanding of the cells is very important to cure cancer and many other diseases, because it shows us how to activate and de-activate the cancer-destroying immune cells in a lasting manner, so that they can clear out the body of all pathogenic cells, molecules, and germs (hence, not just cancer but also viruses, bacteria, prions, and other microbes). Thereby, the various states of existence of the T-cells show a clear quantum dynamic pattern. Hence, Dr. Soon Shiong’s naming “Quantum Onco-Therapeutics”. From a molecular-biological standpoint this is anything but surprising, because – after all – it is molecular processes, that control the cells and many of their functionalities.
However, as this does not happen on the usual valence level of atoms and “ordinary sized” molecules, it requires a “Higher Order Chemistry” [1] and the interactional dynamics of coherent domains [2, 3] to properly model and understand the transfer of quantum properties into the macromolecular and cellular scale. To recognize this is important also with respect to a correct statistical treatment of the associated biological experiments and medical studies [4, 5] (test of new treatments, for instance), because it leads to a completely different statistical behavior in comparison to ordinary macroscopic matter. This becomes immediately clear when simply considering the huge differences of bosonic and fermionic entities and, as the theory [2, 3, 4, 5] shows, multichotomic matter has the ability to sport even stranger behavioral patterns.
The same quantum behavior can also be observed in many other biological processes. A good and quite-well-understood example here is the Glycogen-Synthase-Kinase-3 complex which shows a significant on-off-behavior in connection with the exchange of magnesium and lithium ions.
Connection to SIO
It may come as a surprise to some, but the technology of the so-called Polar Selective Agents [6] is based on such a molecular multichotomy… and it was the SIO-team who developed the math for this [1, 2, 3, 6].
Yes, material science, if understood and applied in a really fundamental way, can provide useful tools in many fields also far outside the usual material science universe.
References
[*] We suggest the following interview for a general and quite entertaining introduction into the matter:
[1] W. Wismann, N. Schwarzer, “A Higher Order Chemistry“, 2025, a RASA®-Institute booklet
[2] N. Schwarzer, “Fluid Universe – The Way of Structured Water; Mathematical Foundation” , 2025, a RASA®-institute mathematical foundations book, ISBN: 9798218695316
[3] N. Schwarzer, “Supra Fluid Universe – The Way of Coherent Domains: Solving a few Problems”, 2025, a RASA®-Institute science book
[4] N. Schwarzer, W. Wismann, D. Martin, „The Quantum Gravity Expectation Value“ , 2025, a RASA®-institute publication
[5] N. Schwarzer, “Quantum Gravity Statistics – High Expectations” , 2025, a RASA®-institute mathematical foundations paper
[6] W. Wismann, D. Martin, N. Schwarzer, “Creation, Separation and the Mind…”, 2024, RASA strategy book, ISBN 979-8-218-44483-9
If you have any questions concerning the theory, please contact Norbert Schwarzer directly via email: n.schwarzer@siomec.de
If you have any questions concerning the software and animation, please contact Nick Bierwisch: n.bierwisch@siomec.de
For all other concerns (software, offers, development, investor requests) address Peggy Heuer-Schwarzer: p.heuer@siomec.de or Troy vom Braucke: troy@gpplasma.com
SIO the other newsletter – No. 127: Load dot module
Many practical problems in almost all kinds of applications for protective surfaces and coatings are coming with very complex contact and mechanical loading situations.
Those can now be handled quite easily and – what is more – quite generally in FilmDoctor.
Here is an illustrative example:
Similar to the multiple impact module, the load dot feature was now converted into a brand new FilmDoctor module. This simplifies the GUI and eases up the workflow for our customers. With the load dots module it is possible to evaluate multiple contact situations or define complex contact conditions in a very flexible way.
Enter the properties of the material stack on the material page that should already be familiar to our FilmDoctor users.
On the load dot page the details of the contact pairings can be defined.

When the calculation has finished, the results can be presented in the standard FilmDoctor result views.
If you have any questions concerning the theory, please contact Norbert Schwarzer directly via email: n.schwarzer@siomec.de
If you have any questions concerning the software and animation, please contact Nick Bierwisch: n.bierwisch@siomec.de
For all other concerns (software, offers, development, investor requests) address Peggy Heuer-Schwarzer: p.heuer@siomec.de or Troy vom Braucke: troy@gpplasma.com
SIO the other newsletter – No. 126: solution to last week’s riddle
Not all is just a show!
We are currently in Las Vegas…

… but not just for fun!
We are here to discuss with our partners business concerning hydrocarbons, construction engineering, internally structured fluids, game theories, artificial intelligence and natural stupidity… Let’s see how it goes from here!

If you have any questions concerning the theory, please contact Norbert Schwarzer directly via email: n.schwarzer@siomec.de
If you have any questions concerning the software and animation, please contact Nick Bierwisch: n.bierwisch@siomec.de
For all other concerns (software, offers, development, investor requests) address Peggy Heuer-Schwarzer: p.heuer@siomec.de or Troy vom Braucke: troy@gpplasma.com
SIO the other newsletter – No. 125: riddle of the week
Have an intellectual guess where we currently are
… and rest assured that we are not here for gambling

If you have any questions concerning the theory, please contact Norbert Schwarzer directly via email: n.schwarzer@siomec.de
If you have any questions concerning the software and animation, please contact Nick Bierwisch: n.bierwisch@siomec.de
For all other concerns (software, offers, development, investor requests) address Peggy Heuer-Schwarzer: p.heuer@siomec.de or Troy vom Braucke: troy@gpplasma.com
SIO the other newsletter – No. 124: surprisingly simple
When giving our youngest (Filia, 13) the task of trying to find an illustrative description of the concept of “division of labor and cooperation” I never expected her to deliver something so simple, compact, easy to grasp, and even quite funny.
Maybe such a short animation is the better way to understand the value of clever tools [1], rigorous theoretical concepts, and technological solutions [1 – 4] … much better than any long-winding advertisement could ever be.
So, let us cooperate!
[1] N. Schwarzer, “FilmDoctor”, software package, www.siomec.de; e.g., see:
[2] W. Wismann, D. Martin, N. Schwarzer, “Creation, Separation, and the Mind – the Three Towers of Singularity: The Application of Universal Code in Reality”, 2024, RASA® strategy book, ISBN: 9798218444839
[3] W. Wismann, N. Schwarzer, “A Higher Order Chemistry“, 2025, a RASA®-Institute booklet
[4] D. Martin, “The Ever-Jittering Fulcrum or Why we need a generalization of the Hamilton extremal principle”, 2025, a RASA®-Institute science paper
If you have any questions concerning the theory, please contact Norbert Schwarzer directly via email: n.schwarzer@siomec.de
If you have any questions concerning the software and animation, please contact Nick Bierwisch: n.bierwisch@siomec.de
For all other concerns (software, offers, development, investor requests) address Peggy Heuer-Schwarzer: p.heuer@siomec.de or Troy vom Braucke: troy@gpplasma.com
SIO the other newsletter – No. 123: The key
The Copenhagen interpretation of Quantum Theory says that the wave function has no fundamental meaning or equivalent in reality, but only is a way to calculate observations.
However, when starting with the Einstein field equation in a general enough way (using the Hilbert technique to derive them), we do not only get the typical quantum equations like Klein-Gordon, Schrödinger, and Dirac in the gravity compatible frame, but we also see what the wave function means in a quantum gravity reality.
Interestingly, the key to all this is to be found in the 1915 Hilbert paper, where he derived Einstein’s General Theory of Relativity via an extremal principle.
Everything else – so it seems – just falls out from there.

If you have any questions concerning the theory, please contact Norbert Schwarzer directly via email: n.schwarzer@siomec.de
If you have any questions concerning the software and animation, please contact Nick Bierwisch: n.bierwisch@siomec.de
For all other concerns (software, offers, development, investor requests) address Peggy Heuer-Schwarzer: p.heuer@siomec.de or Troy vom Braucke: troy@gpplasma.com
SIO the other newsletter – No. 122: my daily prayer
My daily prayer
by Norbert Schwarzer
Universe,
If I’m dead, I won’t know.
But the people around me will know and it is hard for them.
If I’m stupid, it’s the same.
Dear Universe, please help me never to make life difficult for those around me… at least not in this context.

If you have any questions concerning the theory, please contact Norbert Schwarzer directly via email: n.schwarzer@siomec.de
If you have any questions concerning the software and animation, please contact Nick Bierwisch: n.bierwisch@siomec.de
For all other concerns (software, offers, development, investor requests) address Peggy Heuer-Schwarzer: p.heuer@siomec.de or Troy vom Braucke: troy@gpplasma.com
SIO the other newsletter – No. 121: Geological Mechanics Part II
By Troy vom Braucke
In the high-stakes world of oil extraction, mastering an oil field’s shifting dynamics is key. FilmDoctor, is THE cutting-edge physics tool, with potential to redefine well design optimization with speed and clarity—a true game-changer.

Imagine living beside a serene lake—say, Lake Texoma, TX (above left), or Finger Lake, NY (above right)—unaware that miles beneath your feet, the extraction of oil could subtly shift the land, sink the ground, or destabilize the shoreline. It’s a slow, hidden process, but one with big implications for homes, roads, and the environment. In our last newsletter (No. 119), we introduced FilmDoctor’s ability to simulate oil field dynamics. Today, we’re diving deeper—showing how it can predict these risks before they happen and inviting you to think about what’s at stake.
The Problem Beneath the Surface
Extracting oil isn’t just about pulling fluid from the ground—it’s about managing the ripple effects deep below. Oil reservoirs often sit beneath layers of rock and above or below water (aquifers), acting as an incompressible cushion that pushing on the land above. But when oil is removed, this cushion weakens. The once-fluid layer leaves behind a more compressible sedimentary layer, and the ground can sink—a process called subsidence. Near lakes, this can tilt shorelines, threatening infrastructure and ecosystems. Using our model of the oil well, but now imagine the load being applied is the weight of a lake above the oil field. The uplift generated around a lake also known as a “double eggshell effect,” see newsletter No. 68 for more.
How do we stay ahead of these changes? Enter FilmDoctor.
FilmDoctor: (Fore)seeing the Unseen
FilmDoctor is more than a simulation tool— Unlike static traditional tools, FilmDoctor offers a window into the dynamic subsurface world. With real-time 3D tomographic stress-field visuals and lightning-fast analysis, it shows how oil extraction alters underground and surface stress and strain, helping engineers predict and prevent environmental risks. Think of it as a crystal ball for oil fields revealing what might happen before a project starts, while tracking metrics like von Mises stress as conditions evolve.
Here’s what it brings to the table:
- Protecting Infrastructure: Spot subsidence early to save roads, pipelines, and buildings from damage.
- Environmental Stewardship: Pairing it with RASA’s low-emissions extraction tech to minimize harm and remediate contaminated sites. Knowing when to extract and when to stop, not leaving the environment in a worse state.
What Do You See? Take a Closer Look
Below are two simulations of an oil field’s stress fields. The first shows a standard well design (from Newsletter No. 119). The second and third tweak the scenario: a thinner oil reservoir with softened layers, lower Poisson’s ratio, lowering pressure. Each image maps von Mises stress (right), strain (top left), and free energy density (bottom left).



Now, picture a lake sitting above the oil field, the stress field coming from the weight of the water body. How might a changing oil reservoir below affect the land around the lake up at the surface?
Could those stress patterns hint at a changing landscape? Hint: Check out Newsletter No. 68 for a 2D take on the double eggshell effect—it might spark some ideas.
We’re not spelling it out—we want you to connect the dots.
Real-World Impact
FilmDoctor doesn’t just simulate—it solves. Here’s how:
- Forecast Subsidence: By tweaking variables like layer thickness or stiffness, it predicts where the ground might give way and under what changing conditions.
- Smarter Extraction: Adjust well plans in minutes to balance efficiency and environmental responsibility.
- Community Safety: Protect lakeside regions by foreseeing risks to homes and nature.
At RASA, they’re all about leaving the world better than they found it. FilmDoctor helps keep that promise.
Did You Know?
- Subsidence from oil extraction has dropped some areas by up to 10 meters over decades.
- What might that mean for a lakeside town? Let us know your thoughts!
[1] Geological mechanics: https://siomec.com/news-2025/#SIO_the_other_newsletter_%E2%80%93_No_119_Geological_Mechanics_%E2%80%93_Simulating_Oil_Field_Stress-Strain_Data
If you have any questions concerning the theory, please contact Norbert Schwarzer directly via email: n.schwarzer@siomec.de
If you have any questions concerning the software and animation, please contact Nick Bierwisch: n.bierwisch@siomec.de
For all other concerns (software, offers, development, investor requests) address Peggy Heuer-Schwarzer: p.heuer@siomec.de or Troy vom Braucke: troy@gpplasma.com
SIO the other newsletter – No. 120: What Happens When You Sleep? A Brain-Charging Secret Unveiled
By Troy vom Braucke
Picture this: as you sleep, your brain might not just be resting—it could be recharging.
A bold idea from 2025 proposes that the myelin sheath, the protective coating around your nerve fibers, functions like a proton capacitor, storing energy during sleep to power your waking hours. But how do we explore a concept this intriguing?

FilmDoctor output of von Mises stress (center) of 10 layer system and with gap junctions added (right).
The Old Way: Close, But Not Quite
Scientists have long tried to crack the myelin sheath’s secrets using Atomic Force Microscopy (AFM) to measure its mechanical properties.
The catch? These early studies were pioneering, giving us our first look at the sheath’s mechanical properties—its stiffness, its structure, its quirks. Back then, researchers leaned on the best theories they had for contact mechanics theories that couldn’t handle the sheath’s dynamic non-linear gel-like nature—think lipids and proteins that shift over time and incompressible fluid behavior.
They also used a rough “1/10th rule” to dodge the axon’s influence, a shortcut that can falter for complex biological materials. Looking back, we see the limitations—those methods weren’t perfect for such a complex biological material. But that’s the beauty of science: we know better now, thanks to the work of Dr Schwarzer.
Enter FilmDoctor: Precision Meets Possibility
What if we could ditch the assumptions and model the myelin sheath as it really is—from 10 to 100 layers or more, gap junctions, and all? That’s where FilmDoctor shines.
By importing AFM data directly, it captures the sheath’s time-dependent quirks and layered complexity without breaking a sweat. To test the proton capacitor idea, we ran a thought experiment using literature values (e.g., a 1.2-micron sheath with a Youngs modulus of 0.12kPa and Poisson’s ratio of 0.5).
The setup: proton-exchange gap junctions at the layer interfaces, toggling between awake and sleep states.
The outcome? Eye-opening. Under different charge states—mimicking stress fields from waking to sleeping—the gap junctions opened and closed just as the researchers hypothesized – which was informed on observational evidence.
It’s a tantalizing hint at how sleep might recharge the brain … in addition – of course – to the well-known ego-recharge via the production of new index neurons (hippocampal neurogenesis).


Figure 2. Magnified view of the gap junction von Mises stress output in FilmDoctor, showing different charge states of sleeping (left image: closed) and awake (right image: open).
The Power of FilmDoctor: Minutes to Mastery
Here’s the kicker: this simulation took minutes. Not days, not weeks, not months—minutes. With FilmDoctor, you can tweak a replica of nerve fibers, layer by layer, and see how they behave under real-world conditions.
Damaged sheaths? Neurodegenerative diseases? The possibilities are endless. By leveraging AFM data and fine-tuning models in real-time, FilmDoctor doesn’t just advance research—it supercharges it.
Want to unlock the brain’s mysteries faster than ever?
Checkout FilmDoctor for inhomogeneous layers and time-dependent material replication from measured data!
If you have any questions concerning the theory, please contact Norbert Schwarzer directly via email: n.schwarzer@siomec.de
If you have any questions concerning the software and animation, please contact Nick Bierwisch: n.bierwisch@siomec.de
For all other concerns (software, offers, development, investor requests) address Peggy Heuer-Schwarzer: p.heuer@siomec.de or Troy vom Braucke: troy@gpplasma.com
SIO the other newsletter – No. 119: Geological Mechanics – Simulating Oil Field Stress-Strain Data
Geological Mechanics
Simulating Oil Field Stress-Strain Data
By Troy vom Braucke
Based on our previous success with simulating geological uplift due to an earth quake in a region with a water bearing layer for the University of Ohio, we were recently asked if it is possible to also simulate an oil well site with FilmDoctor.
Well, the answer is ‘Yes, we can!’


Given the local site geology data, we were able to replicate the geological mechanics of the layered system and simulate the structural dynamics and stability under various scenarios such as:
- Voids, cavities or lost circulation zones,
- Void movement under earthquake and risk to the well,
- Land subsidence and uplift,
- Blowout risk.
With the geological mechanics replicating the site, FilmDoctor allows for optimizing well location, depth and construction, but importantly understanding the site dynamics over time to plan for optimizing well efficiency of time as the reservoir drains. The best part … all calculated quickly without need for months on a super computer and flexible to the unique geology of a location.
If you have any questions concerning the theory, please contact Norbert Schwarzer directly via email: n.schwarzer@siomec.de
If you have any questions concerning the software and animation, please contact Nick Bierwisch: n.bierwisch@siomec.de
For all other concerns (software, offers, development, investor requests) address Peggy Heuer-Schwarzer: p.heuer@siomec.de or Troy vom Braucke: troy@gpplasma.com
SIO the other newsletter – No. 118: Entanglement
People start to see the connection between technical applications and cognitive harmony:

„In my previous post, if you’re more than a little curious about the third tower: “Math of the Mind,” check out this book by David M.’s co-author Dr. Norbert Schwarzer, HOT off the press, which plunges deep into how the Hamiltonian led him to unify quantum physics and general relativity and apply that same approach to the fields of cognitive science and psychology – the word “fields” being appropriate in more ways than one 🙂
Quantum-gravity-based modeling of human thought processes anyone? How about at the societal level as well? Or perhaps identifying attributes of attractors in a Hilbert space as a means of quantifying Gibson affordances (or as some might say, “entanglement”), something with tremendous potential in our work in knowledge and change management?
Take a dive into this huge vat of deep knowledge and see what lies ahead – we’re on the cusp of so many breakthroughs, if we can only hold it together just a little while longer…“
Thank you, Applied Knowledge Sciences, Inc.!
If you have any questions concerning the theory, please contact Norbert Schwarzer directly via email: n.schwarzer@siomec.de
If you have any questions concerning the software and animation, please contact Nick Bierwisch: n.bierwisch@siomec.de
For all other concerns (software, offers, development, investor requests) address Peggy Heuer-Schwarzer: p.heuer@siomec.de or Troy vom Braucke: troy@gpplasma.com
SIO the other newsletter – No. 117: SIOmec & RASA join forces again

They call themselves ‘the hadron’: It consists of – from right to left – Dr. William Wismann, Dr. David Martin, and Dr. Norbert Schwarzer. Even they – the specialists of SEPARATION [1] – have to admit that there are things in this universe they cannot bring apart… the entanglement is too strong and any attempt to separate its constituents only produces pairs of new objects… and ideas.
[1] W. Wismann, D. Martin, N. Schwarzer, “Creation, Separation, and the Mind – the Three Towers of Singularity: The Application of Universal Code in Reality”, 2024, RASA strategy book, 2024, ISBN: 9798218444839”
If you have any questions concerning the theory, please contact Norbert Schwarzer directly via email: n.schwarzer@siomec.de
If you have any questions concerning the software and animation, please contact Nick Bierwisch: n.bierwisch@siomec.de
For all other concerns (software, offers, development, investor requests) address Peggy Heuer-Schwarzer: p.heuer@siomec.de or Troy vom Braucke: troy@gpplasma.com
SIO the other newsletter – No. 116: Math of Sustainability at next SIPS 2025?
After our success on the recent SIPS conference in October 2024 on Crete, we are planning to go to the next SIPS:
Perhaps we are able to trigger a discussion about:
“The Math of Sustainability”, by Julius and Norbert Schwarzer.
Thereby, it may come as a surprise to some that true sustainability does not only mean the consideration of all degrees of freedom of the system for which one intends to find a sustainable solution, but also the acceptance of an extremal principle as the cornerstone for the subsequent task of optimization… as nothing else is the search for sustainability.
Consequently, one finds that an ideologic environment is the least prone to create, produce, or even just maintain anything in a sustainable manner.
If you have any questions concerning the theory, please contact Norbert Schwarzer directly via email: n.schwarzer@siomec.de
If you have any questions concerning the software and animation, please contact Nick Bierwisch: n.bierwisch@siomec.de
For all other concerns (software, offers, development, investor requests) address Peggy Heuer-Schwarzer: p.heuer@siomec.de or Troy vom Braucke: troy@gpplasma.com
SIO the other newsletter – No. 115: The Power of the Mind; Destructive or Constructive
Norbert’s latest book [1] was praised on a platform:

We are most certainly pleased about that, but what really impressed us and will likely continue to resonate for a long time is the reference to the responsibility that comes with discovering something new and wanting to put it into practice.
We certainly don’t need to resort to the example of the splitting of the atom to realize that not every application is beneficial. In our case, it’s enough to think of a famous movie and realize that the awakening of “Skynet” could be quite disadvantageous.
Thank you – Ruta Stasiunaite – for this important reminder!
[1] N. Schwarzer, “Mathematical Psychology – The World of Thoughts as a Quantum Space-Time with a Gravitational Core”, Jenny Stanford Publishing, ISBN: 9789815129274
If you have any questions concerning the theory, please contact Norbert Schwarzer directly via email: n.schwarzer@siomec.de
If you have any questions concerning the software and animation, please contact Nick Bierwisch: n.bierwisch@siomec.de
For all other concerns (software, offers, development, investor requests) address Peggy Heuer-Schwarzer: p.heuer@siomec.de or Troy vom Braucke: troy@gpplasma.com
SIO the other newsletter – No. 114: SIO at Nanobrücken 2025 – Bruker’s annual meeting
Some days ago, March 4 to March 6, our team member Nick Bierwisch took part at the Nanobrücken 2025 in Halle (Saale), Germany. This is Bruker’s annual testing conference featuring high-quality technical programming presented by leading nanotribological and nanomechanical testing experts.
He presented a poster with the title “From atoms to applications: Unraveling coating failure through multi-scale analytical modeling
combining molecular dynamics, stress evaluation and surface experiments”, which we would like to share with you in this newsletter.

The bottom images show a collection of recent applications in which we used our FilmDoctor solutions:
| Top left: | Tectonic (or earth) plates |
| Top center: | Fusion chamber multiple impact |
| Top right: | Droplet and particle simulation |
| Bottom left: | Graphene |
| Bottom center: | Orbital calculation |
| Bottom right: | Graphene orbital plane |
The work on 2D materials like graphene (bottom left image) pushed us towards to look closer at small scale effects, leading us to dive into molecular dynamics simulations. The calculation of interactions between atoms and molecules and understanding how these influence failure will bring new insights to understand the macroscopic material behaviour in both experimental and applied fields. The last two images (bottom center and right) show results from this ongoing project. This (or maybe the combination of these simulations) brings us closer to a holistic understanding of the application performance of complex material structures.
If you have any questions concerning the theory, please contact Norbert Schwarzer directly via email: n.schwarzer@siomec.de
If you have any questions concerning the software and animation, please contact Nick Bierwisch: n.bierwisch@siomec.de
For all other concerns (software, offers, development, investor requests) address Peggy Heuer-Schwarzer: p.heuer@siomec.de or Troy vom Braucke: troy@gpplasma.com
SIO the other newsletter – No. 113: Conference talk and interview online – update on former newsletter
There is some news with respect to our newsletter No. 96 :
The conference organizers have put the interview and the talk of J. and N. Schwarzer online:
Enjoy watching the shows…!
If you have any questions concerning the theory, please contact Norbert Schwarzer directly via email: n.schwarzer@siomec.de
If you have any questions concerning the software and animation, please contact Nick Bierwisch: n.bierwisch@siomec.de
For all other concerns (software, offers, development, investor requests) address Peggy Heuer-Schwarzer: p.heuer@siomec.de or Troy vom Braucke: troy@gpplasma.com
SIO the other newsletter – No.112: Part V – Trump, Putin, Milei, Tariffs, WW III, Oil-Prices, Ukraine, CBDC, and the Austrian School of Economics
Trump, Putin, Milei, Tariffs, WW III, Oil-Prices, Ukraine, CBDC, and the Austrian School of Economics
By Dr. rer. nat. habil. Norbert Schwarzer
Part V: Do we have a Theroy of Everything?
Find out for yourself and check the short pdf
If you have any questions concerning the theory, please contact Norbert Schwarzer directly via email: n.schwarzer@siomec.de
If you have any questions concerning the software and animation, please contact Nick Bierwisch: n.bierwisch@siomec.de
For all other concerns (software, offers, development, investor requests) address Peggy Heuer-Schwarzer: p.heuer@siomec.de or Troy vom Braucke: troy@gpplasma.com
SIO the other newsletter – No.111: Part IV – Trump, Putin, Milei, Tariffs, WW III, Oil-Prices, Ukraine, CBDC, and the Austrian School of Economics
Trump, Putin, Milei, Tariffs, WW III, Oil-Prices, Ukraine, CBDC, and the Austrian School of Economics
Part IV: The Model or MATHEMATICAL PSYCHOLOGY AND THE ORIGIN OF “MOUNT STUPID”, AND WHY SOCIO-ECONOMY-DYNAMICS NEEDS QUANTUM GRAVITY CONCEPTS
Norbert Schwarzer; Julius Schwarzer; Saxonian Institute of Surface Mechanics and RASA Energy Inc., Ummanz, Germany

There are more and more approaches to try and understand human behavior in socioeconomic spacetimes (a true Socio Economy Dynamics, if one so will) via quantum concepts. This has to include, of course, the world of feelings such as love, hate, fear, anger, and so on plus consciousness in general, sub- and un-consciousness, AND – most importantly – creativity. A standard drawback to such attempts seems to result from the old problem that our current quantum theory is not of metric origin or – in other words – does not appear to be fully compatible with Einstein’s General Theory of Relativity [1]. This lack of a true Quantum Gravity Theory and hence, the subsequent absence of a true Theory of Everything does seem to be the major obstacle for all our attempts to understand consciousness, behavioral dynamics, innovation and creativity, and – consequently – human socioeconomics within a truly fundamental approach, which is to say, a true fundamentally derived theory being more than just an AI-based pattern recognition and extrapolation process. After all, it well could be that our feelings and consciousness in general plus its socioeconomic manifestations, potentially embedding both quantum and cosmic scales, require a truly scale invariant and thus, metric theory.
In order to overcome these difficulties, we explicitly tried to avoid to “push” any existing theory into the comprehension of the human mind and all its derivatives but, instead, started our consideration with the assumption that everything, including consciousness, may consist of attributes or properties. Subjecting these properties to a general Hamilton extremal principle, thereby using the Riemann theory and Hilbert techniques, we – most surprisingly – ended up in generalized Einstein-Field-Equations [2, 3, 4]. These equations do not only contain the full Theory of General Relativity [1], but – lo and behold – also include all main quantum equations, be it for bosonic or fermionic entities. The whole ensemble undoubtedly has the characteristics of a Quantum Gravity Theory and the best part of it is that it was already there for about 109 years [5].
In a variety of projects, we are going to apply our approach onto the interesting field of human conflict and the topic of feelings in general [3, 6]. Thereby, we will not only consider the aspect of feelings of an individual, but also investigate phenomena coming into play where ensembles of human beings entangle. We will learn about the mathematical origin [3] of the so-called Dunning and Kruger effect [7, 8], the corresponding “mount stupid”, and the self-fulfilling prophecies of economic depression and even war. This reaches from observations of so-called mass formations to the simple question whether an economic entity – a company – can ever be good [4]?
We also take on the question whether oscillation-based or cyclic models are sufficient. After all, eigen-solutions and resonance frequencies of a system depend on the phase of this very system and phases can change… and this holds also for socio-economic spaces or rather, space-times, which is to say, societies.
References:
[1] A. Einstein, Grundlage der allgemeinen Relativitätstheorie, Annalen der Physik (ser. 4), 49, 769–822
[2] N. Schwarzer, “The Math of Body, Soul and the Universe”, Jenny Stanford Publishing, ISBN 9789814968249
[3] N. Schwarzer, “Mathematical Psychology – The World of Thoughts as a Quantum Space-Time with a Gravitational Core”, 2024, Jenny Stanford Publishing, ISBN: 9789815129274
[4] W. Wismann, D. Martin, N. Schwarzer, “Creation, Separation and the Mind, the Three Towers of Singularity – The Application of Universal Code in Reality”, 2024, RASA strategy book, ISBN 979-8-218-44483-9
[5] D. Hilbert, Die Grundlagen der Physik, Teil 1, Göttinger Nachrichten, 395-407 (1915)
[6] J. Schwarzer, “Love Fields – towards a mathematical psychology“, https://youtu.be/TdJuOsfXR2s
[7] J. Kruger, D. Dunning, “Unskilled and unaware of it. How difficulties in recognizing one’s own incompetence lead to inflated self-assessments”, Journal of Personality and Social Psychology, Vol. 77, No. 6, 1999, pp. 1121–1134
[8] D. Dunning, “Chapter five – The Dunning–Kruger Effect: On Being Ignorant of One’s Own Ignorance”, Advances in Experimental Social Psychology, Vol. 44, 2011, pp. 247–296, doi:10.1016/B978-0-12-385522-0.00005-6;
If you have any questions concerning the theory, please contact Norbert Schwarzer directly via email: n.schwarzer@siomec.de
If you have any questions concerning the software and animation, please contact Nick Bierwisch: n.bierwisch@siomec.de
For all other concerns (software, offers, development, investor requests) address Peggy Heuer-Schwarzer: p.heuer@siomec.de or Troy vom Braucke: troy@gpplasma.com
SIO the other newsletter – No.110: Part III – Trump, Putin, Milei, Tariffs, WW III, Oil-Prices, Ukraine, CBDC, and the Austrian School of Economics
Trump, Putin, Milei, Tariffs, WW III, Oil-Prices, Ukraine, CBDC, and the Austrian School of Economics
By Dr. rer. nat. habil. Norbert Schwarzer
Part III: Why a CBDC Would be a Disaster
Another question one would like to tackle with a Theory of Everything approach would be what the theory says about a so-called Central Bank Digital Currency.
Surprisingly, the answer is quite simple and doesn’t necessarily require the presentation of math.
Money should not be more than a substitute for the exchange of goods, thereby assuring that instead of the direct exchange of such goods, the buyer of good A does not have to give his own good to B as this might not be of interest to the seller. Instead, the buyer could use money to satisfy the seller and to sell his own product or good to somebody else, thereby getting money. So, money is only an equivalent of goods.
As such, and in order not to distort the market, it should be similar to these goods in a variety of aspects.
Some economists argued that money should lose value in time, just as goods do, but this would only take one important incentive away from introducing money in the first place. No, the important attribute money should have similar to all the goods would be variety. Yes, there have to be options for goods-equivalent currencies and they should compete with each other. A one-currency-policy and a central bank are contradicting the concept of healthy exchange, leading to all sorts of only-money (monopole-money, one should say) related market disruptions and a whole lot of other problems. In a fundamental socio-economic, which is to say quantum gravity based or “Austrian” model this shows up as decrease of degrees of freedom for the socio-economic space-time, which is to say “society”, with the usual consequences regarding innovation, dynamics and stability, and over-all wealth. The model shows that elastically and fiscally restricted systems are per se unstable, usually leading into downward spirals of increased poverty, followed by market interference, leading to more poverty, which than asks for even more interference… and so on. A CBDC or Central Bank Digital Currency is therefore the worst. Its sole purpose is to enslave and control the working population in order to cement the power of the useless, parasitic political caste.

For those who are interested in the math, we refer to the following literature:
[1] N. Schwarzer, “The World Formula: A Late Recognition of David Hilbert’s Stroke of Genius”, Jenny Stanford Publishing, ISBN: 9789814877206 (especially see section 17.3)
[2] N. Schwarzer: “The Math of Body, Soul and the Universe”, Jenny Stanford Publishing, ISBN 9789814968249
[3] N. Schwarzer, “Mathematical Psychology – The World of Thoughts as a Quantum Space-Time with a Gravitational Core”, 2024, Jenny Stanford Publishing, ISBN: 9789815129274
[4] W. Wismann, D. Martin, N. Schwarzer, “Creation, Separation and the Mind, the Three Towers of Singularity – The Application of Universal Code in Reality”, 2024, RASA strategy book, ISBN 979-8-218-44483-9
If you have any questions concerning the theory, please contact Norbert Schwarzer directly via email: n.schwarzer@siomec.de
If you have any questions concerning the software and animation, please contact Nick Bierwisch: n.bierwisch@siomec.de
For all other concerns (software, offers, development, investor requests) address Peggy Heuer-Schwarzer: p.heuer@siomec.de or Troy vom Braucke: troy@gpplasma.com
SIO the other newsletter – No.109: Part II – Trump, Putin, Milei, Tariffs, WW III, Oil-Prices, Ukraine, CBDC, and the Austrian School of Economics
Trump, Putin, Milei, Tariffs, WW III, Oil-Prices, Ukraine, CBDC, and the Austrian School of Economics
By Dr. rer. nat. habil. Norbert Schwarzer
Part II: Are Tariffs Always Bad?
One of the questions one may like to tackle with a Theory of Everything (ToE) approach would surely be how tariffs would work as Trump wants to apply them on Russia in order to end the war in Ukraine.
Well, people like Martin Armstrong and most of the “Austrians” surely dismiss such measures as they usually backfire, restrict market freedom and are thus, per se, non-libertarian. Interestingly, a holistic approach as we do it with the ToE mentioned above, does not rigidly condemn tariff measures if used only temporarily and as tools for a semipermeable membrane filter (like for living cells). It strongly depends on the interacting “cells” or “organisms” what outcome is achieved. The more innovative the organism against which the tariffs are directed, the more likely is a complete and quite disastrous backfiring effect. Here Russia has proven, time and again, that its creative potential is better not underestimated and so, this author sees any sort of sanctions as suboptimum if not to say as very dangerous.
There is a better way and we described it already in one of our recent newsletters (see Newsletter 108).

If one looks for a recent example how quickly market restrictions like tariffs or export bans can fail one finds many. The most impressive one would probably be the Chinese AI company DeepSeek with its innovative LLM-solution. The latter is so powerful that DeepSeek can only laugh about those feeble attempts to harm China’s AI-sector with restrictions by using bans on processors or tariffs. Of course, there are jokers who say that behind DeepSeek’s creative solution there are whole hordes of industrious, bespectacled Chinese people, who are tied up close to computer workstations and are responsible for all the artificial intelligence that seems so natural. Well, apart from the fact that this hypothesis has a negative ethical component, one can easily calculate that more Chinese would be needed for this than actually exist and that there would also be a speed problem, i.e. the labor of the many Chinese would not be able to be adequately superimposed.
If you have any questions concerning the theory, please contact Norbert Schwarzer directly via email: n.schwarzer@siomec.de
If you have any questions concerning the software and animation, please contact Nick Bierwisch: n.bierwisch@siomec.de
For all other concerns (software, offers, development, investor requests) address Peggy Heuer-Schwarzer: p.heuer@siomec.de or Troy vom Braucke: troy@gpplasma.com
SIO the other newsletter – No.108: Part I – Trump, Putin, Milei, Tariffs, WW III, Oil-Prices, Ukraine, CBDC, and the Austrian School of Economics
Trump, Putin, Milei, Tariffs, WW III, Oil-Prices, Ukraine, CBDC, and the Austrian School of Economics
By Dr. rer. nat. habil. Norbert Schwarzer
Part I: A Reasonably Sceptic Austrian School “Boy”
There is a good reason why proponents of the Austrian School of Economics, like Milei, Bagus, Krall, Huerta de Soto, and so on, reject mathematical models as a method for describing entire socio-economic spaces or rather space-times. The danger that the creator of the model will incorporate his own prejudices, preferences, and desires into the model is simply too great. Moreover, the “Austrians” argued, the complexity of an innovative mass of individuals and their constantly changing interaction cannot be adequately captured by a model anyway.
Many of the current, at least somewhat respectable models of state economists (whores of the state they work for) can be traced back without great difficulty to John Nash’s game theory or some of its core elements. However, this theory assumes rational agents and this already provides the first discrepancy with reality. The second and probably more severe discrepancy is the reduction in dimensions and the complete ignorance of innovation (mathematically, a dimensional dynamic).
Consequently, this author fully agrees with the thesis of the “Austrians”. He also thinks that such a model cannot be created and would mostly only lead to socialist mismanagement… if applied (as countless historic experiments with hundreds of millions of victims have demonstrated).
But what about a model that is not created by people, but already exists?
What about a “Model” directly extracted from the laws of the universe?
Wouldn’t a true so-called Theory of Everything – in principle – actually produce the necessary set of mathematical rules according to which human societies, i.e. socio-economic spaces or space-times, function? This – at least – would hold if one assumes that human societies also function according to the laws of the universe in which they exist.
The first question – of course – would be:
Do we possess such a theoretical apparatus?
The answer is YES and in order not to refer the esteemed reader to any literature that he might find unreasonable, because he has no desire to spend money on something that he does not believe to have been realized by the author anyway, and then to spend time on the necessary study of the reference offered, we will provide the proof of the existence of such a theory as a newsletter within the near future (probably No. 112). We will see that such a theory has actually existed for over a hundred years. This author did not have to create anything extra. It was already there.
The second question is:
How does one use such a Theory of Everything and adapt it without generating distortions so that it results in a truly impartial socio-economic theory?
This is going to be yet another newsletter (presumably No. 111).
Having these tools, we can now try to answer a few questions with respect to most recent happenings on the international political stage, which we will do in our next newsletter No. 109.

If you have any questions concerning the theory, please contact Norbert Schwarzer directly via email: n.schwarzer@siomec.de
If you have any questions concerning the software and animation, please contact Nick Bierwisch: n.bierwisch@siomec.de
For all other concerns (software, offers, development, investor requests) address Peggy Heuer-Schwarzer: p.heuer@siomec.de or Troy vom Braucke: troy@gpplasma.com
SIO the other newsletter – No.107: Drill, baby, drill . a thought experiment
A Thought Experiment about 200 Trillion Dollar Revenue, WW III, Trump’s Plans, and “Drill, Baby, Drill”
By Dr. rer. Nat. habil. Norbert Schwarzer
There are about 4 million old (one says retired) oil wells in North America. They pose a great danger to the environment. The average amount of oil still in those old wells is above 1 million barrel each and this is a very conservative number/estimate as old and current extraction techniques cannot extract more than 60% of the amount of oil that such wells contain.
Securing only about 400 thousand (10%) of these old wells would cost the tax-payer a minimum of 20 billion dollars and it would secure those wells for not longer than 10 to 15 years max. Then a revision is of need.
With RASA® technology the oil, still residing in those wells and causing all the environmental disastrous problems, the combined process of extraction, cleaning up, and securing those old wells would be so efficient that selling the residual oil does not only cover all costs, but even leaves a revenue of about 50 dollars per barrel, when evaluated with the current material prices and energy costs.



Well, doing the math gives us 4 million wells times 1 million barrels per well (min) times 50 $/barrel equals 200 trillion dollars = 200,000,000,000,000 $.
To put this into perspective:
The Neocons and some other evil forces try to start WW III over 82 trillion in natural resources in the Russian soil, thereby only considering current extraction techniques. Using RASA®-tech, those 82 trillion would evolve to about 350 trillion as just a very conservative estimate, meaning that we can probably expect much more. So, how about offering the Russians our help with the extraction process getting a nice share, let’s say about 100 trillion for our service in support and in licensing the tech? Those 100 trillion would be significantly more than the 82 trillion and they would come without any war at all. On the contrary, they would bring and maintain peace.
Who would have thought that good material science can actually help to “make love not war”…
If you have any questions concerning the theory, please contact Norbert Schwarzer directly via email: n.schwarzer@siomec.de
If you have any questions concerning the software and animation, please contact Nick Bierwisch: n.bierwisch@siomec.de
For all other concerns (software, offers, development, investor requests) address Peggy Heuer-Schwarzer: p.heuer@siomec.de or Troy vom Braucke: troy@gpplasma.com
SIO the other newsletter – No.106: Trump’s Stargate Project
So, now we have the project “stargate”, where they want to spend 500 billion Dollars on Artificial Intelligence R&D.
Hmm, ok… but isn’t it time to ask why, after decades of AI research and development, trillions of Dollars and calculation power so unimaginably huge and – what is more – incredibly energy consuming when compared to the human brain, we are still not anywhere near the development of something like “artificial consciousness”?
Admittedly, artificial intelligence is still better than natural stupidity, but shouldn’t we meanwhile have seen at least one “Skynet-awakening” event…?

Of course, what do material scientists like us know… after all, we are only material scientists.
[1] W. Wismann, D. Martin, N. Schwarzer, “Creation, Separation and the Mind, the Three Towers of Singularity – The Application of Universal Code in Reality”, 2024, RASA strategy book, ISBN 979-8-218-44483-9
If you have any questions concerning the theory, please contact Norbert Schwarzer directly via email: n.schwarzer@siomec.de
If you have any questions concerning the software and animation, please contact Nick Bierwisch: n.bierwisch@siomec.de
For all other concerns (software, offers, development, investor requests) address Peggy Heuer-Schwarzer: p.heuer@siomec.de or Troy vom Braucke: troy@gpplasma.com
SIO the other newsletter – No.105: The Ultimate Golf Ball – An Infinite Market Option for Coating Companies
The Ultimate Golf Ball – An Infinite Market Option for Coating Companies




If you have any questions concerning the theory, please contact Norbert Schwarzer directly via email: n.schwarzer@siomec.de
If you have any questions concerning the software and animation, please contact Nick Bierwisch: n.bierwisch@siomec.de
For all other concerns (software, offers, development, investor requests) address Peggy Heuer-Schwarzer: p.heuer@siomec.de or Troy vom Braucke: troy@gpplasma.com
SIO the other newsletter – No.104: A Fundamental Marketing Aspect or The Biblical Marketing Approach
How do we constantly fail our fellow human beings in the simplest way or even make ourselves guilty towards them?
Anyone who thinks that this is a purely religious question or matter and that something like this has no place in a newsletter from a more technical company may happily dismiss the message, but they will be missing something else, something that could easily be filed under the heading of “marketing”.
Each of us speaks a different language. By that we don’t mean German or English or God knows what, but we mean the individual language of each individual, which mostly differs in nuances, but sometimes significantly in the interpretation of otherwise identical text elements of verbal communication.
To use an extreme example, let’s imagine a clergyman and a theoretical physicist.
While one speaks of soul and spirit and the other of fields, both could well mean something very similar, perhaps even the same. On the face of an analog clock, their ideas would be at 11 and 1 o’clock, but nevertheless their positions appear diametrically opposed in general perception. The one does not want to understand that in principle he is very close to the other… and there are many reasons for that, including historical, religious, ideological, and economic or socio-economic ones.
But we don’t want to worry about any of that here, because we want to focus on the marketing aspect behind this fundamental communication problem.
The way out of the dilemma of individual filters is to use the broadest possible association and illustration.
Whenever we succeed in creating images in the other person’s mind that adequately correspond to what we are trying to convey, we come closer to our goal of reaching that other person with our message. It doesn’t matter whether it is an advertising message relevant to our product marketing, an important statement or rule in law and jurisdiction, or something religious again.
The key is to pick up the other person in their own world of understanding, so to speak behind their individual filter, and to guide them mentally towards what you really want to convey.
And we are very close to the example from above with the clergyman and the theoretical physicist:
It is not for nothing that the Bible is full of metaphors.

By the way: This strategy can also be VERY helpful for the poor technician who needs to explain something complicated and completely non-economic to the management!
And where can you find such insights?
Well, you can even derive them and express them neatly mathematically [1].
[1] N. Schwarzer, “Mathematical Psychology – The World of Thoughts as a Quantum Space-Time with a Gravitational Core”, 2024, Jenny Stanford Publishing, ISBN: 9789815129274
If you have any questions concerning the theory, please contact Norbert Schwarzer directly via email: n.schwarzer@siomec.de
If you have any questions concerning the software and animation, please contact Nick Bierwisch: n.bierwisch@siomec.de
For all other concerns (software, offers, development, investor requests) address Peggy Heuer-Schwarzer: p.heuer@siomec.de or Troy vom Braucke: troy@gpplasma.com
